3  Geoestatística

Imagine o desafio enfrentado por um engenheiro de minas na África do Sul, na década de 1950. A sua tarefa consistia em estimar o teor de ouro num bloco de rocha ainda não escavado, baseando-se apenas em algumas amostras recolhidas através de furos de sondagem (Ecker 2003). Ao aplicar os métodos estatísticos convencionais da época, baseados em médias aritméticas, os engenheiros deparavam-se consistentemente com um erro sistemático: as previsões tendiam a superestimar as áreas ricas e a subestimar as áreas pobres. Quando a exploração real avançava, o ouro recuperado não correspondia à estimativa inicial, gerando prejuízos avultados(Krige e Kleingeld 2005).

DicaSondagem

Assista ao vídeo produzido pela Federação Brasileira de Geólogos (FEBRAGEO) sobre furos de sondagem clicando aqui.

A raiz deste problema não estava na precisão dos instrumentos, mas na premissa estatística utilizada. A estatística clássica assume, frequentemente, que as observações são independentes e identicamente distribuídas (i.i.d.) (Cressie e Moores 2022). No entanto, na natureza, esta independência raramente existe. O engenheiro sul-africano Danie Gerhardus Krige percebeu empiricamente que uma amostra geológica não é um valor isolado; ela carrega consigo uma influência da sua vizinhança (Scalon 2024). Uma amostra com elevado teor de minério sugere que a rocha imediatamente adjacente tem também uma alta probabilidade de ser rica (Oliver e Webster 2014) . Ao ignorar a localização espacial das amostras e tratá-las como eventos aleatórios independentes, perdia-se a informação mais valiosa para a predição: a continuidade espacial (Nhancololo et al. 2024).

Foi com base nesta intuição que o matemático francês Georges Matheron, na década de 1960, formalizou a disciplina que hoje conhecemos como Geoestatística (Andre G. Journel e Huijbregts 1976; Scalon 2024). Matheron sistematizou as observações de Krige através da Teoria das Variáveis Regionalizadas (G. Matheron 1963; George Matheron 1971), estabelecendo que fenômenos naturais não são nem puramente aleatórios, como o lançamento de um dado, nem puramente determinísticos, descritíveis por uma equação geométrica simples. Eles exibem uma estrutura mista: possuem continuidade estruturada (dependência espacial), mas também uma componente localmente imprevisível (aleatoriedade local) (Cressie 1990; Wackernagel 2003).

A Geoestatística define-se, portanto, como o ramo da estatística espacial dedicado à modelagem e predição destes fenômenos contínuos(Myers 1994). Assume-se que a variável de interesse, denotada por \(Y(\mathbf{s})\), existe em qualquer ponto de um domínio contínuo fixo \(D^{G} \subseteq \mathbb{R}^d\), mas é observada apenas num conjunto finito de locais \(\{\mathbf{s}_1, \dots, \mathbf{s}_n\}\) (Scalon 2024; Cressie e Moores 2022).

Neste contexto de informação incompleta, o objetivo central passa a ser a utilização da estrutura de dependência espacial identificada nas amostras para inferir, com o menor erro possível, o comportamento da variável nos locais onde não foi realizada qualquer medição. Foi precisamente esta mudança de paradigma e robustez preditiva que permitiu resolver o problema original das minas de ouro, impulsionando a subsequente expansão da disciplina para a hidrologia, ciências do solo, meteorologia e epidemiologia, onde se consolidou como a ferramenta padrão para lidar com variáveis contínuas no espaço (Yamamoto e Landim 2013; Nhancololo et al. 2024).

Código
if (!require("pacman")) install.packages("pacman")
pacman::p_load(ggplot2, gstat, sf, viridis, gridExtra, knitr, tidyverse)

grid_df <- expand.grid(x = 1:50, y = 1:50)
grid_sf <- st_as_sf(grid_df, coords = c("x", "y"))

set.seed(42)
grid_df$iid <- rnorm(nrow(grid_df))


modelo_vgm <- gstat::vgm(psill = 1, model = "Sph", range = 20, nugget = 0)
g_dummy <- gstat::gstat(formula = z~1, locations = grid_sf, dummy = T, beta = 0, model = modelo_vgm, nmax = 20)
invisible(capture.output(yy <- predict(g_dummy, newdata = grid_sf, nsim = 1)))
grid_df$geo <- yy$sim1

p1 <- ggplot(grid_df, aes(x, y, fill = iid)) +
  geom_tile() +
  scale_fill_viridis_c(option = "magma", name = "Teor") +
  coord_fixed() + theme_void() +
  labs(title = "", subtitle = "Amostras Independentes (Ruído)") +
  theme(plot.title = element_text(hjust = 0.5), plot.subtitle = element_text(hjust = 0.5))

p2 <- ggplot(grid_df, aes(x, y, fill = geo)) +
  geom_tile() +
  scale_fill_viridis_c(option = "magma", name = "Teor") +
  coord_fixed() + theme_void() +
  labs(title = "", subtitle = "Dependência Espacial (Continuidade)") +
  theme(plot.title = element_text(hjust = 0.5), plot.subtitle = element_text(hjust = 0.5))

p1; p2
(a) Estatística Clássica
(b) Geoestatística
Figura 3.1: Intuição de Krige: A diferença entre Ruído Branco (Independente) e Continuidade Espacial (Estruturado).

3.1 Variável Regionalizada e o Processo Estocástico

Para operar matematicamente sobre um fenômeno natural único, utilizamos o conceito de Variável Regionalizada. É crucial estabelecer uma distinção notacional usada aqui: denotamos por \(y(\mathbf{s})\) o valor numérico observado do fenômeno no local \(\mathbf{s}\) (a realização concreta, com letra minúscula), e por \(Y(\mathbf{s})\) a variável aleatória no local \(\mathbf{s}\) (o processo probabilístico antes da observação, com letra maiúscula). Embora na realidade \(y(\mathbf{s})\) seja único e fixo, a geoestatística modela-o como uma realização de um Processo Estocástico (ou Função Aleatória/Campo Aleatório) \(Y(\mathbf{s})\).

Variável Regionalizada

Uma variável regionalizada é uma função numérica \(f(\mathbf{s})\) que descreve a distribuição espacial de uma grandeza física (ex: teor de ouro, pH do solo) num domínio \(D^{G}\). Esta função possui propriedades duais: um aspeto estruturado (refletindo tendências geológicas ou climáticas de larga escala) e um aspeto aleatório (refletindo irregularidades locais imprevisíveis) (George Matheron 1971). Matematicamente, tratamos estas variáveis regionalizadas como realizações de um processo estocástico (ou campo aleatório) \(\{Y(s) : s \in D^{G}\}\), onde \(s\) denota um vetor de coordenadas em um domínio espacial \(D^G \subseteq \mathbb{R}^d\) (geralmente \(d=2\) ou \(3\)) (Cressie 1991)

Processo Estocástico

Um processo estocástico espacial é definido como uma coleção de variáveis aleatórias \(\{Y(\mathbf{s}) : \mathbf{s} \in D^{G}\}\), onde \(D^{G} \subseteq D \subseteq \mathbb{R}^d\) é um conjunto de índices contínuo (uma área ou volume) com medida de Lebesgue positiva (área \(>0\)) (Cressie 1993). O objetivo da inferência geoestatística é reconstruir a lei de probabilidade do processo \(Y(\mathbf{s})\) a partir de um conjunto finito de observações \(\{y(\mathbf{s}_1), \dots, y(\mathbf{s}_n)\}\).

Ao contrário da análise de séries temporais, onde o índice \(t\) possui uma ordenação natural (passado \(\to\) futuro), o índice espacial \(s\) não possui uma ordenação única em \(\mathbb{R}^d\) para \(d \ge 2\), o que introduz complexidades adicionais na modelação da dependência multidirecional (Cressie e Moores 2022).

Para tornar o processo estocástico tratável, decompomos a variável aleatória \(Y(\mathbf{s})\) em componentes que explicam diferentes escalas de variação. Existem duas formulações principais: a decomposição simples e a decomposição estrutural completa.

Na decomposição simples assumimos que o processo estocástico é constituído por uma média determinística e um erro correlacionado:

\[Y(\mathbf{s}) = \mu(\mathbf{s}) + \delta(\mathbf{s}), \tag{3.1}\]

Onde \(\mu(\mathbf{s}) \equiv E[Y(\mathbf{s})]\) representa a tendência de larga escala (Trend ou Drift), isto é, variação sistemática do fenômeno sobre o domínio \(DĜ\). Assume-se frequentemente que \(\mu(\mathbf{s})\) é uma função suave das coordenadas ou uma combinação linear de covariáveis externas \(X(\mathbf{s})\), tal que \(\mu(\mathbf{s}) = \mathbf{x}(\mathbf{s})^\top \boldsymbol{\beta}\) (Cressie e Moores 2022). \(\delta(\mathbf{s})\): Representa a variação de pequena escala ou o erro estocástico. Assume-se que este termo tem média zero, \(E[\delta(\mathbf{s})] = 0\), e captura a dependência espacial estatística (correlação) entre locais vizinhos.

A formulação usada na Eq. 3.1 é insuficiente pois não distingue entre a variabilidade natural do fenômeno e o erro humano. Cressie (1991) e Diggle, Tawn, e Moyeed (1998), sugerem expandir o termo de erro (\(\delta(\mathbf{s})\):

\[Y(\mathbf{s}) = \mu(\mathbf{s}) + W(\mathbf{s}) + \eta(\mathbf{s}) + \epsilon(\mathbf{s}) \tag{3.2}\]

Onde:

  • \(\mu(\mathbf{s})\) continua sendo componente determinística. Podendo ser modelada como uma constante, \(\mu(\mathbf{s})=\mu\) (Krigagem simples e ordinária), um polinómio das coordenadas, \(Y(s) =\beta_0 + \beta_1 s_x + \beta_2 s_y\), (Krigagem Universal) ou função de covariáveis externas, como elevação (Krigagem com Deriva Externa) (Wackernagel 2003). Captura forçantes globais (ex: o gradiente de temperatura causado pela latitude).

  • \(W(\mathbf{s})\)) é o componente estocástico de interesse principal. É um processo estocástico com média zero e continuidade em média quadrática (\(L_2\)-contínuo). \(E[(W(\mathbf{s+h}) - W(\mathbf{s}))^2] \to 0\) quando \(\|\mathbf{h}\| \to 0\). Este componente captura a estrutura de dependência espacial observável na escala da amostragem. Em abordagens modernas de baixo posto este termo é frequentemente modelado por uma expansão de funções de base, \(W(\mathbf{s}) \approx \sum \alpha_j \phi_j(\mathbf{s})\) (sugestão de leitura (Cressie, Sainsbury-Dale, e Zammit-Mangion 2022) ).

  • \(\eta(\mathbf{s})\)) representa a variabilidade do fenômeno que ocorre a distâncias menores do que a menor distância de separação entre as observações disponíveis (\(\min \|\mathbf{s}_i - \mathbf{s}_j\|\)). É uma variação intrínseca e física do fenômeno, não um erro. No entanto, dado que não temos dados suficientes para resolver esta continuidade, modelamo-la estatisticamente como um ruído branco espacialmente não correlacionado na escala de observação. Exemplo: Se medirmos o teor de ouro a cada 10 metros, a variação extrema que ocorre dentro de uma pepita de 1 cm é classificada como variação de microescala (\(\eta\)).

Conforme descrito por Diggle, Tawn, e Moyeed (1998) referem-se a componentes similares num contexto de modelos lineares generalizados mistos, onde a heterogeneidade latente de pequena escala deve ser contabilizada.

  • \(\epsilon(\mathbf{s})\) é ruído branco puro (\(\epsilon \overset{iid}{\sim} N[0, \text{Var}(\epsilon(\mathbf{s}))]\)), introduzido pelo processo de observação (precisão do instrumento, erro de laboratório, erro de localização). É puramente aleatório e não tem realidade no fenômeno natural \(S(\mathbf{s})\) que estamos a tentar estudar.

A soma das variâncias dos dois últimos componentes (\(\eta (s)\) e \(\epsilon (s)\)) constitui o que chamamos de Efeito Pepita (\(c_0\)), visível no variograma experimental (assunto da próxima seção) como uma descontinuidade na origem (\(\gamma(h) \to c_0\) quando \(h \to 0\)):

Código
if (!require("pacman")) install.packages("pacman")
pacman::p_load(ggplot2, viridis)


grid_df$tendencia <- (grid_df$x + grid_df$y) / 20 
grid_df$residuo   <- grid_df$geo
grid_df$Y         <- grid_df$tendencia + grid_df$residuo

tema_comum <- list(
  geom_tile(),
  scale_fill_viridis_c(
    option = "C",
    guide = guide_colorbar(
      barheight = unit(0.8, "npc"), 
      barwidth = unit(0.7, "cm"),  
      title.position = "top",       
      frame.colour = "black",       
      ticks.colour = "black"        
    )
  ),
  coord_fixed(),
  theme_void(),
  theme(
    legend.title = element_text(size = 10, vjust = 1),
    legend.margin = margin(l = 5, r = 5) 
  )
)


p1 <- ggplot(grid_df, aes(x, y, fill = Y)) +
  tema_comum +
  labs(fill = "Valor")


p2 <- ggplot(grid_df, aes(x, y, fill = tendencia)) +
  tema_comum +
  labs(fill = "Valor")


p3 <- ggplot(grid_df, aes(x, y, fill = residuo)) +
  tema_comum +
  labs(fill = "Valor")

p1;p2;p3
(a) Fenômeno observado: \(Y(s)\)
(b) Tendência global: \(\mu(s)\)
(c) Resíduo estocástico: \(\delta(s)\)
Figura 3.2: Decomposição de uma variável regionalizada: Tendência global + resíduo estocástico.

3.2 Estacionariedade e Inferência Estatística

O obstáculo central na inferência espacial é a unicidade da realização: na prática, possuímos apenas um único conjunto de dados observados \(\{y(\mathbf{s}) : \mathbf{s} \in D\}\), que constitui apenas uma das infinitas realizações possíveis do processo estocástico gerador \(\{Y(\mathbf{s})\}\). Diferentemente de experiências laboratoriais controladas, não é possível replicar o processo geológico ou climático sob as mesmas condições para gerar múltiplas realizações e, assim, estimar a função de distribuição conjunta para qualquer conjunto finito de \(k\) localizações: \[F(y_1, \dots, y_k; \mathbf{s}_1, \dots, \mathbf{s}_k) = P\left(Y(\mathbf{s}_1) \le y_1, \dots, Y(\mathbf{s}_k) \le y_k\right),\]

Nem tão-pouco é possível calcular empiricamente os seus momentos de primeira \(\mu(\mathbf{s})\), \[\mu(\mathbf{s}) = E[Y(\mathbf{s})] = \int_{-\infty}^{+\infty} y \cdot f(y; \mathbf{s}) \, dy\:, \] e segunda ordem \(\sigma^2(\mathbf{s})\), \[\sigma^2(\mathbf{s}) = \text{Var}(Y(\mathbf{s})) = E\left[(Y(\mathbf{s}) - \mu(\mathbf{s}))^2\right], \] em cada local \(\mathbf{s}\) (Cressie 1993).

Para viabilizar a inferência estatística (i.e., estimar os parâmetros do processo a partir de uma única realização), é imperativo invocar a hipótese de estacionariedade. Este conceito assume a invariância das propriedades estatísticas (momentos da distribuição) do processo sob translação no domínio espacial \(D^G\) Seção 2.3. Sob esta premissa, assumimos que a estrutura de dependência é homogénea em todo o domínio, o que nos permite utilizar repetições espaciais, diferentes pares de pontos separados pelo mesmo vetor \(\mathbf{h}\) em locais distintos, como substitutos válidos para as inexistentes repetições estocásticas. Este procedimento fundamenta-se na hipótese de ergodicidade, que estabelece a condição necessária para estimar parâmetros probabilísticos a partir de uma única realização observada. Sob condições específicas de mistura (onde a correlação espacial decai suficientemente rápido com a distância), a ergodicidade garante que as médias espaciais calculadas sobre o domínio \(D^G\) convirjam para a esperança matemática (média populacional) à medida que o volume ou área do domínio de observação cresce indefinidamente (\(|D^G| \to \infty\)) (Cressie 1993). Esta convergência, é em média quadrática (ou convergência em \(L^2\)). Seja \(\bar{Y}_D\) a média espacial (se existir) do processo no domínio \(D\), definida como \(\bar{Y}_{D^G} = \frac{1}{|D|} \int_{D^G} Y(\mathbf{s}) d\mathbf{s}\). A propriedade ergódica assegura que o erro quadrático médio entre a média espacial e a média teórica \(\mu\) tende para zero:

\[\lim_{|D^G| \to \infty} E\left[ \left( \bar{Y}_{D^G} - \mu \right)^2 \right] = 0 , \Longleftrightarrow \bar{Y}_{D^G} \xrightarrow{L^2} \mu\] Esta convergência implica que a variância da média espacial diminui assintoticamente, permitindo que as estatísticas calculadas sobre uma única realização extensa sejam estimadores consistentes dos momentos do processo estocástico gerador (George Matheron 1971; Cressie 1989).

Conforme descrito na Seção 2.3 existem dois níveis principais de estacionariedade utilizados na modelação geoestatística:

A estacionaridade mais comum em análise de séries temporais e estatística espacial é a estacionariedade de segunda ordem (ou fraca). Um processo estocástico \(\{Y(\mathbf{s})\}\) diz-se estacionário de segunda ordem se satisfizer duas condições simultâneas:

  • A esperança matemática deve ser constante e finita em todo o domínio \(D^G\), independentemente da localização \(\mathbf{s}\). O parâmetro \(\mu\) representa o nível global em torno do qual o processo flutua:

\[E[Y(\mathbf{s})] = \mu, \forall \mathbf{s} \in D^G\].

  • A covariância entre dois pontos não depende das suas localizações absolutas \(\mathbf{s}\) e \(\mathbf{s}+\mathbf{h}\), mas apenas do vetor de separação \(\mathbf{h}\) (que define a distância e a direção entre eles):

\[Cov(Y(\mathbf{s}), Y(\mathbf{s}+\mathbf{h})) = E[(Y(\mathbf{s}) - \mu)(Y(\mathbf{s}+\mathbf{h}) - \mu)] = C(\mathbf{h}) \tag{3.3}\]

onde \(C(\mathbf{h})\) denota a função de covariância. Esta definição implica necessariamente que a variância do processo é finita e constante, dada por \(Var(Y(\mathbf{s})) = C(\mathbf{0}) < \infty\).

Uma consequência analítica imediata da definição acima (Eq. 3.3) é a estabilidade da variância. Se considerarmos o caso particular onde o vetor de separação é nulo (\(\mathbf{h} = \mathbf{0}\)), a covariância de um ponto com ele próprio torna-se, por definição, a sua variância. Como \(C(\mathbf{h})\) não depende da localização \(\mathbf{s}\), segue-se que \(C(\mathbf{0})\) também não depende.

Portanto, a variância do processo é finita e constante em todo o domínio (propriedade de homocedasticidade espacial), sendo definida por:

\[Cov(Y(\mathbf{s}), Y(\mathbf{s+0}))=Var(Y(\mathbf{s})) = C(\mathbf{0}) = \sigma^2\]

Esta relação (\(C(\mathbf{0}) = \sigma^2\)) estabelece que o “patamar” máximo de variabilidade do processo é fixo e conhecido a priori. Se a variabilidade do fenômeno crescer indefinidamente com a área (como na topografia de uma cadeia montanhosa), a condição \(C(\mathbf{0}) < \infty\) é violada, e a estacionariedade de segunda ordem não pode ser assumida, exigindo a adoção da hipótese intrínseca.

Muitos fenômenos naturais, como a dispersão de poluentes ou a topografia, apresentam uma variabilidade que cresce sem limites à medida que a área de estudo aumenta, violando a condição de variância a priori finita. Para acomodar estes processos, G. Matheron (1963) introduziu uma condição mais fraca e generalista: a estacionariedade intrínseca. Esta hipótese exige apenas a estacionariedade dos incrementos do processo \(Y(\mathbf{s}+\mathbf{h}) - Y(\mathbf{s})\), definindo-se pelas seguintes propriedades:

\[\begin{aligned} E[Y(\mathbf{s}+\mathbf{h}) - Y(\mathbf{s})] &= 0 \\ Var(Y(\mathbf{s}+\mathbf{h}) - Y(\mathbf{s})) &= 2\gamma(\mathbf{h}) \end{aligned}\]

A formulação intrínseca é vantajosa pois abrange uma classe mais ampla de processos estocásticos, incluindo aqueles com variância infinita (como o movimento Browniano), onde a função de covariância \(C(\mathbf{h})\) não estaria definida, mas o variograma está perfeitamente caracterizado.

A função \(2\gamma(\mathbf{h})\) é definida formalmente como o variograma, e \(\gamma(\mathbf{h})\) como o semivariograma.

Partindo da definição do variograma \(\gamma(\mathbf{h})\) como a variância do incremento, o desenvolvimento segue:

\[\begin{aligned} 2\gamma(\mathbf{h}) &= Var(Y(\mathbf{s}+\mathbf{h}) - Y(\mathbf{s})) \\ &= E\left[ \left( \{Y(\mathbf{s}+\mathbf{h}) - Y(\mathbf{s})\} - E[Y(\mathbf{s}+\mathbf{h}) - Y(\mathbf{s})] \right)^2 \right] && \text{(Definição de Variância)} \\ &= E\left[ \left( Y(\mathbf{s}+\mathbf{h}) - Y(\mathbf{s}) \right)^2 \right] && \text{(Pois } E[Y(\mathbf{s}+\mathbf{h}) - Y(\mathbf{s})] = 0 \text{)} \\ &= E\left[ \left( \{Y(\mathbf{s}+\mathbf{h}) - \mu\} - \{Y(\mathbf{s}) - \mu\} \right)^2 \right] && \text{(Centrando na média } \mu \text{)} \\ &= E\left[ (Y(\mathbf{s}+\mathbf{h}) - \mu)^2 - 2(Y(\mathbf{s}+\mathbf{h}) - \mu)(Y(\mathbf{s}) - \mu) + (Y(\mathbf{s}) - \mu)^2 \right] && \text{(Expandindo o quadrado)} \\ &= E[(Y(\mathbf{s}+\mathbf{h}) - \mu)^2] - 2E[(Y(\mathbf{s}+\mathbf{h}) - \mu)(Y(\mathbf{s}) - \mu)] + E[(Y(\mathbf{s}) - \mu)^2] && \text{(Linearidade da Esperança)} \\ &= Var(Y(\mathbf{s}+\mathbf{h})) - 2Cov(Y(\mathbf{s}+\mathbf{h}), Y(\mathbf{s})) + Var(Y(\mathbf{s})) && \text{(Definições de Var e Cov)} \\ &= C(0) - 2C(\mathbf{h}) + C(0) && \text{(Estacionariedade de 2ª ordem)} \\ &= 2(C(0) - C(\mathbf{h})) \end{aligned} \tag{3.4}\]

Portanto, simplificando por 2, obtemos a relação fundamental para processos estacionários:

\[\gamma(\mathbf{h})= C(0) - C(\mathbf{h}) \tag{3.5}\]

A relação entre estas duas abordagens é hierárquica. Se um processo for estacionário de segunda ordem, ele é necessariamente intrínseco, existindo uma relação analítica direta que conecta o semivariograma \(\gamma(\mathbf{h})\) à função de covariância Eq. 3.5. Esta equação revela que o semivariograma é a imagem espelhada da covariância: enquanto a covariância \(C(\mathbf{h})\) decresce com a distância (de \(\sigma^2\) para assintoticamente 0), o semivariograma \(\gamma(\mathbf{h})\) cresce com a distância (de 0 para um patamar \(\sigma^2\)). No entanto, a formulação intrínseca é mais robusta, pois o variograma \(2\gamma(\mathbf{h})\) permanece definido mesmo para processos com variância infinita onde a covariância \(C(\mathbf{h})\) não existe, o que justifica a preferência de Matheron pelo variograma como ferramenta fundamental de análise estrutural Figura 3.3 .

Código
nugget <- 2
partial_sill <- 8
range_val <- 20
sill <- nugget + partial_sill

h <- seq(0, 30, by = 0.1)

gamma <- ifelse(h == 0, 0,
         ifelse(h <= range_val, 
                nugget + partial_sill * (1.5 * (h/range_val) - 0.5 * (h/range_val)^3),
                sill))

gamma[1] <- nugget 

df_vgm <- data.frame(Distancia = h, Semivariancia = gamma)


df_vgm$Covariancia <- sill - df_vgm$Semivariancia

df_comp <- pivot_longer(df_vgm, cols = c(Semivariancia, Covariancia), names_to = "Funcao", values_to = "Valor")
ggplot(df_comp, aes(x = Distancia, y = Valor, color = Funcao)) +
  geom_line(size = 1) +
  scale_color_manual(values = c("Covariancia" = "darkred", "Semivariancia" = "steelblue"),
                     labels = c(expression(C(h)), expression(gamma(h)))) +
  labs(y = "Valor", x = "Distância (h)", color = "Função:") +
  theme_minimal() +
  theme(legend.position = "bottom")
Figura 3.3: Covariância vs. Semivariograma em Processo Estacionário.

3.3 Efeito Pepita e suas Implicações na Predição

A caracterização da continuidade espacial de um fenômeno é frequentemente realizada através do variograma experimental (ver secção seguinte). Em muitos casos, observa-se que, à medida que a distância de separação (\(\|\mathbf{h}\|\)) entre dois pontos tende a zero, o valor do semivariograma (\(\gamma(\mathbf{h})\)) não converge para zero, mas sim para um valor positivo. Esta descontinuidade na origem é denominada Efeito Pepita (\(c_0\) ou nugget effect). O termo Efeito Pepita (ou Nugget Effect) tem origem histórica nas minas de ouro sul-africanas. Matheron observou que, mesmo quando duas amostras eram recolhidas muito próximas uma da outra, os seus valores podiam diferir devido à presença de pepitas, microscópicas de ouro distribuídas aleatoriamente.

Cressie (1993) define este parâmetro como a soma das variâncias das duas componentes descritas acima:

\[c_0 = \lim_{\|\mathbf{h}\| \to 0} \gamma(\mathbf{h}) = \text{Var}(\eta(\mathbf{s})) + \text{Var}(\epsilon(\mathbf{s}))\]

Esta distinção permite-nos definir o “sinal” ou processo latente \(S(\mathbf{s})\) que desejamos recuperar, livre do erro de medição instrumental:

\[S(\mathbf{s}) = \mu(\mathbf{s}) + W(\mathbf{s}) + \eta(\mathbf{s})\]

Consequentemente, os dados observados são compostos pelo sinal mais o erro de medição: \(Y(\mathbf{s}) = S(\mathbf{s}) + \epsilon(\mathbf{s})\). Esta formulação alinha-se com a Geoestatística Baseada em Modelos (Diggle, Tawn, e Moyeed 1998), que assume uma hierarquia:

  1. Modelo de Processo: \([S(\cdot)]\) (descreve a física do fenômeno).

  2. Modelo de Dados: \([Y(\cdot) | S(\cdot)]\) (descreve a observação ruidosa desse fenômeno).

Cressie (1993) e Laslett (1994) destacam uma implicação fundamental desta decomposição. As equações de predição (Krigagem) devem ser ajustadas dependendo do nosso objetivo final:

  1. Predição do dado observável (\(Y\)): Se o objetivo é prever o valor que um sensor mediria no local \(\mathbf{s}_0\) (incluindo o erro inerente ao sensor), utilizamos a Krigagem Exata. Este interpolador respeita os dados originais e incorpora todo o \(c_0\) na variabilidade estimada.

  2. Predição do processo latente (\(S\)): Se o objetivo é prever o valor físico real do fenômeno, filtrado do ruído instrumental, utilizamos a Krigagem com Suavização. Isto é feito subtraindo a variância do erro de medição (\(\text{Var}(\epsilon)\)) da diagonal da matriz de covariância do sistema de krigagem.

Se ignorarmos esta distinção e tratarmos todo o efeito pepita como variabilidade natural (assumindo \(\text{Var}(\epsilon)=0\)), os nossos mapas serão desnecessariamente ruidosos (“rugosos”) e respeitarão erros de medição como se fossem verdades. Por outro lado, se tratarmos todo o pepita como erro, obteremos mapas mais suaves.

ImportanteO problema da identificabilidade

É importante notar que, sem medições repetidas no mesmo local (co-localizadas), é impossível separar estatisticamente o quanto do \(c_0\) se deve a \(\eta(s)\) (microescala) e o quanto se deve a \(\epsilon (s)\) (erro). Cressie (1993) alerta que esta distinção é frequentemente uma escolha de modelagem baseada no conhecimento do equipamento, e não uma inferência puramente estatística.

NotaTendência e erro

Wackernagel (2003) demonstra que, em domínios pequenos, uma tendência local pode ser indistinguível de uma flutuação estocástica de baixa frequência: A estrutura determinística média de uma pessoa pode ser a estrutura de erro correlacionado de outra.

3.4 Variograma e funções de covariância

Uma vez assumida a hipótese de estacionariedade, a inferência geoestatística exige a quantificação da dependência espacial do processo estocástico \(Y(\mathbf{s})\). Diferentemente da estatística clássica, onde a correlação é frequentemente um escalar único, na geoestatística a dependência é modelada como uma função contínua do vetor de separação \(\mathbf{h} \in \mathbb{R}^d\) entre pares de pontos.

A caracterização desta estrutura é realizada através de duas ferramentas fundamentais, cuja aplicabilidade depende do nível de estacionariedade assumido: a Função de Covariância (Estacionariedade de 2.ª Ordem) e o Variograma (Estacionariedade Intrínseca).

Função de Covariância

A função de covariância \(C(\mathbf{h})\) quantifica a covariância linear entre os valores do processo estocástico \(Y(\mathbf{s})\) em dois locais \(\mathbf{s}\) e \(\mathbf{s} + \mathbf{h}\), separados por um vetor de distância \(\mathbf{h} \in \mathbb{R}^d\):

\[C(\mathbf{h}) = \text{Cov}(Y(\mathbf{s}), Y(\mathbf{s} + \mathbf{h})) = E[(Y(\mathbf{s}) - \mu)(Y(\mathbf{s} + \mathbf{h}) - \mu)]\]

onde \(\mu\) é a média estacionária do processo Cressie (1993). Sob a hipótese de estacionariedade de segunda ordem, a covariância depende apenas de \(\mathbf{h}\) e é simétrica em relação à origem, ou seja, \(C(\mathbf{h}) = C(-\mathbf{h})\).

Como descrito anteriormente, uma consequência fundamental desta definição é que a covariância na origem, \(C(\mathbf{0})\), corresponde à variância a priori do processo, \(\sigma^2_Y\), que se assume finita e constante em todo o domínio \(D^G\), \(C(\mathbf{0}) = \text{Var}(Y(\mathbf{s})) = \sigma^2_Y\).

Para garantir a validade estatística das predições (Krigagem), a função de covariância deve ser positiva definida, o que implica que a variância de qualquer combinação linear das variáveis aleatórias seja não negativa (George Matheron 1971).

Variograma

Em situações nas quais a variância do processo não é finita, a função de covariância não pode ser definida (por exemplo: movimento Browniano, topografia em grandes escalas, etc.). Esta condição de não-finitude, central na formulação da hipótese intrínseca por George Matheron (1971), não implica que um valor pontual seja infinito, mas sim que a dispersão a priori do processo cresce indefinidamente à medida que o domínio de observação se expande (\(|D| \to \infty\)). Um exemplo clássico é o movimento Browniano unidimensional (processo de Wiener), denotado por \(Y(t)\), em que a variância da posição da partícula no instante \(t\) é linearmente proporcional ao tempo decorrido, expressa por \(\text{Var}(Y(t)) = \sigma^2 t\). Consequentemente, num domínio temporal ilimitado (\(t \to \infty\)), a variância global do processo tende ao infinito (\(\sigma^2_{global} \to \infty\)), tornando matematicamente impossível a definição de um patamar \(C(0)\) ou de uma função de covariância estacionária.

Nesses casos, onde a estacionariedade de segunda ordem é violada pela ausência de variância finita, utiliza-se o variograma \(2\gamma(\mathbf{h})\). Essa ferramenta baseia-se na hipótese de estacionaridade intrínseca introduzida por G. Matheron (1963), assumindo estacionariedade apenas para os incrementos do processo. Isto implica que os incrementos permanecem finitos e estáveis, mesmo quando a variância absoluta diverge. O variograma é definido como a variância da diferença entre os valores da variável em dois locais separados por um vetor \(\mathbf{h}\) e, assumindo que a média dos incrementos é zero, equivale ao valor esperado do quadrado dessas diferenças:

\[2\gamma(\mathbf{h}) = \text{Var}(Y(\mathbf{s} + \mathbf{h}) - Y(\mathbf{s})) = E[(Y(\mathbf{s} + \mathbf{h}) - Y(\mathbf{s}))^2]\]

O semivariograma \(\gamma(\mathbf{h})\) corresponde à metade do variograma. Sob a hipótese intrínseca, assume-se que o variograma depende apenas do vetor de separação \(\mathbf{h}\), garantindo a caracterização da continuidade espacial mesmo sem variância global definida. Contudo, se o processo satisfizer a estacionariedade de segunda ordem (onde \(C(\mathbf{0})\) existe e é finito), estabelece-se uma relação analítica direta entre o variograma e a função de covariância (ver a dedução na Eq. 3.4).

Elementos do Semivariograma

Antes de procedermos à modelagem teórica, é crucial compreender os parâmetros que constituem o perfil de um variograma pois a correta identificação destes parâmetros condiciona diretamente a estrutura de covariância utilizada na predição espacial (Yamamoto e Landim 2013).

  1. Alcance (\(a\) ou Range)

O alcance define o limite da dependência espacial. É a distância no eixo das abcissas (\(\|\mathbf{h}\|\)) a partir da qual a correlação entre observações se torna desprezível e o variograma estabiliza. Em termos práticos, pontos separados por uma distância \(\|\mathbf{h}\| \ge a\) são considerados estatisticamente independentes (ou não correlacionados). Este parâmetro impõe o critério crítico para a amostragem: para capturar a estrutura do fenômeno, a malha de amostragem deve possuir um espaçamento inferior ao alcance. Caso contrário, qualquer interpolação entre os pontos será meramente especulativa, uma vez que, além desta fronteira, a predição reverte estatisticamente para a média global do processo.

  1. Efeito Pepita (\(C_0\) ou Nugget Effect)

Teoricamente, pela definição de variância de um incremento nulo, \(\gamma(\mathbf{0}) = 0\). Contudo, o variograma experimental frequentemente exibe uma descontinuidade na origem, intercetando o eixo das ordenadas num valor positivo \(C_0 > 0\). Como descrito na secção Seção 3.3, Cressie (1993) e Diggle, Tawn, e Moyeed (1998) decompõem este parâmetro na soma de duas fontes de variabilidade que operam em escalas sub-amostrais: a variabilidade de microescala e o erro de medição (\(C_0 =\text{Var}(\eta(\mathbf{s})) + \text{Var}(\epsilon(\mathbf{s}))\)). Embora seja um parâmetro a modelar, é desejável que a sua magnitude seja reduzida em comparação com a variância total (\(C_0 <C\)), indicando que o ruído não domina o sinal espacial.

  1. Contribuição (\(C\) ou Partial Sill)

A Contribuição representa a componente da variância que é explicitamente explicada pela estrutura de dependência espacial. Corresponde à amplitude do crescimento do variograma, ou seja, a diferença entre o valor onde a função estabiliza e o ponto onde intercepta o eixo \(Y\) (Efeito Pepita). É neste segmento da curva que reside a informação espacial útil para a krigagem: quanto maior for o valor de \(C\) em relação a \(C_0\), mais forte e contínuo é o padrão espacial do fenômeno.

  1. Patamar (\(C_0 + C\) ou Sill)

O Patamar é o valor assintótico onde a função \(\gamma(\mathbf{h})\) estabiliza. Sob a hipótese de estacionariedade de segunda ordem, este valor corresponde teoricamente à variância total a priori do processo (\(\sigma^2 = C(\mathbf{0})\)). Existe uma relação analítica de aditividade que conecta os elementos de variância descritos acima:

\[\text{Patamar} = \text{Efeito Pepita} (C_0) + \text{Contribuição} (C)\]

Se o variograma não estabilizar num patamar e continuar a crescer indefinidamente, isso indica que o processo não possui variância finita (é intrínseco) ou que existe uma tendência (drift) não removida nos dados.

Interpretação Gráfica

Para visualizar estes componentes no gráfico do semivariograma, observa-se o comportamento da curva \(\gamma(\mathbf{h})\) em relação aos eixos cartesianos. O gráfico inicia-se no eixo Y à altura do Efeito Pepita (\(C_0\)). À medida que a distância \(\mathbf{h}\) (eixo X) aumenta, a semivariância cresce com uma amplitude igual à Contribuição (\(C\)). A curva cessa o seu crescimento quando a distância atinge o Alcance (\(a\)), momento em que a função se torna horizontal, fixando-se no valor do Patamar (\(C_0 + C\)). Portanto, a altura total da curva representa a variabilidade total dos dados, a qual é particionada em variabilidade não explicada (pepita) e variabilidade estruturada (contribuição) Figura 3.4.

Nota

Uma discussão aprofundada sobre as implicações do efeito pepita na escolha entre Krigagem Exata e Krigagem com Suavização encontra-se na Seção 3.3.

Código
ggplot(df_vgm, aes(x = Distancia, y = Semivariancia)) +
  geom_line(color = "black", size = 1) +
  geom_hline(yintercept = sill, linetype = "dashed", color = "black") +
  geom_vline(xintercept = range_val, linetype = "dotted", color = "black") +
  geom_hline(yintercept = nugget, linetype = "dashed", color = "black") +
  annotate("text", x = 25, y = sill + 0.5, label = "Patamar (Sill)", color = "black") +
  annotate("text", x = range_val + 0.5, y = 2, label = "Alcance (Range)", angle = 90, color = "black") +
  geom_point(aes(x = 0, y = nugget), color = "red", size = 3) +
  annotate("text", x = 1, y = nugget - 0.5, label = "Efeito Pepita (C0)", color = "black", hjust = 0) +
  annotate("curve", 
           x = 1.5, y = nugget - 0.2,       
           xend = 0.15, yend = nugget - 0.05, 
           arrow = arrow(length = unit(0.2, "cm"), type = "closed"), 
           color = "black", 
           curvature = 0.3) +
  annotate("segment", x = 28, xend = 28, y = nugget, yend = sill, 
           arrow = arrow(ends = "both", length = unit(0.2, "cm")), color = "black") +
  annotate("text", x = 28.5, y = (nugget + sill)/2 -2 , label = "Contribuição (C)", angle = 90, color = "black", hjust = 0) +
  scale_y_continuous(limits = c(0, 12), breaks = seq(0, 12, 2)) +
  scale_x_continuous(expand = c(0, 0), limits = c(0, 30)) +
  labs(x = "Distância de Separação (h)", y = expression(gamma(h))) +
  theme_classic()
Figura 3.4: Elementos Teóricos do Semivariograma: Alcance, patamar, efeito pepita e contribuição.

3.5 Estimadores do Variograma

A definição teórica do variograma, \(2\gamma(\mathbf{h}) = E[(Y(\mathbf{s}+\mathbf{h}) - Y(\mathbf{s}))^2]\), pressupõe o conhecimento da distribuição de probabilidade conjunta do processo estocástico \(Y(\mathbf{s})\). Contudo, na prática geoestatística, o investigador dispõe apenas de uma única realização finita do processo, materializada num conjunto discreto de observações amostrais \(\mathbf{y} = \{y(\mathbf{s}_1), y(\mathbf{s}_2), \dots, y(\mathbf{s}_n)\}\). Consequentemente, a função teórica \(\gamma(\mathbf{h})\) é desconhecida e deve ser estimada empiricamente a partir destes dados. A qualidade desta estimativa é crítica, uma vez que o variograma experimental constitui a base para o ajuste do modelo teórico que alimentará as equações de krigagem.

Estimador Experimental Clássico (Matheron)

Proposto por G. Matheron (1963), este estimador baseia-se no método dos momentos. Ele calcula a média dos quadrados das diferenças entre pares de pontos separados por um vetor \(\mathbf{h}\) (dentro de uma determinada tolerância de distância e direção). O semivariograma experimental \(\hat{\gamma}_{M}(\mathbf{h})\) é dado por:

\[\hat{\gamma}_{M}(\mathbf{h}) = \frac{1}{2|N(\mathbf{h})|} \sum_{(\mathbf{s}_i, \mathbf{s}_j) \in N(\mathbf{h})} (y(\mathbf{s}_i) - y(\mathbf{s}_j))^2 \tag{3.6}\]

Onde \(N(\mathbf{h})\) representa o conjunto de pares de localizações \((\mathbf{s}_i, \mathbf{s}_j)\) tal que a separação \(\mathbf{s}_i - \mathbf{s}_j\) se aproxima do vetor \(\mathbf{h}\), e \(|N(\mathbf{h})|\) denota a cardinalidade (número de pares) desse conjunto.

Estimador Robusto (Cressie-Hawkins)

Embora o estimador clássico Eq. 3.6 seja não-viesado para processos Gaussianos, ele apresenta uma vulnerabilidade intrínseca: a elevação das diferenças ao quadrado, \((y(\mathbf{s}_i) - y(\mathbf{s}_j))^2\), amplifica desproporcionalmente o impacto de valores extremos. A presença de um único outlier ou erro grosseiro na amostragem pode inflar a variância estimada em determinadas classes de distância, distorcendo a estrutura de continuidade espacial e dificultando a modelagem do patamar e do alcance.

Em resposta à sensibilidade do estimador clássico a dados contaminados e a distribuições de cauda longa, Cressie e Hawkins (1980) desenvolveram uma alternativa mais resiliente, conhecida como Estimador Robusto de Cressie-Hawkins. A premissa deste método reside na suavização das diferenças extremas através de uma transformação de raiz quadrada, aproximando a distribuição dos incrementos à normalidade antes do cálculo da média. A expressão para o estimador robusto \(\hat{\gamma}_{CH}(\mathbf{h})\) é definida como:

\[\hat{\gamma}_{CH}(\mathbf{h}) = \frac{\left( \frac{1}{|N(\mathbf{h})|} \sum_{(\mathbf{s}_i, \mathbf{s}_j) \in N(\mathbf{h})} |y(\mathbf{s}_i) - y(\mathbf{s}_j)|^{1/2} \right)^4}{0.457 + \frac{0.494}{|N(\mathbf{h})|}} \tag{3.7}\]

O denominador na Eq. 3.7 atua como um fator de correção de viés para amostras finitas, garantindo a consistência estatística do estimador. A aplicação comparativa de ambos os estimadores constitui uma prática recomendada na fase de Análise Exploratória de Dados Espaciais (ESDA). Uma divergência significativa entre o perfil do variograma clássico e o do robusto especificamente, se \(\hat{\gamma}_{M}(\mathbf{h})\) apresentar flutuações erráticas ou valores excessivamente elevados nas curtas distâncias em comparação com \(\hat{\gamma}_{CH}(\mathbf{h})\), é um indicador forte da presença de outliers ou de não-normalidade severa nos dados Figura 3.5, sugerindo a necessidade de adoção da abordagem robusta para a modelagem ou verificar possíveis falhas resultantes da ação humana (Cressie 1993) .

Código
if (!require("pacman")) install.packages("pacman")
pacman::p_load(ggplot2, gstat, sf, viridis, dplyr)

set.seed(123)
grid_exemplo <- expand.grid(x = 1:50, y = 1:50)
grid_sf_ex <- st_as_sf(grid_exemplo, coords = c("x", "y"))

modelo_verdadeiro <- gstat::vgm(psill = 10, model = "Exp", range = 15, nugget = 2)

g_sim <- gstat::gstat(formula = z~1, locations = grid_sf_ex, dummy = TRUE, beta = 0, model = modelo_verdadeiro, nmax = 20)
simulacao <- predict(g_sim, newdata = grid_sf_ex, nsim = 1)
[using unconditional Gaussian simulation]
Código
simulacao$z_contaminado <- simulacao$sim1

# 2. Introduzindo Outliers (Contaminação)
# Adicionamos um erro grosseiro (+50) em apenas 0.2% dos dados
set.seed(999) 
idx_outliers <- sample(1:nrow(simulacao), 5)
simulacao$z_contaminado[idx_outliers] <- simulacao$z_contaminado[idx_outliers] + 50

#Variogramas
vgm_classico <- gstat::variogram(z_contaminado ~ 1, data = simulacao, cressie = FALSE)
vgm_classico$Estimador <- "Clássico (Matheron)"

vgm_robusto <- gstat::variogram(z_contaminado ~ 1, data = simulacao, cressie = TRUE)
vgm_robusto$Estimador <- "Robusto (Cressie)"

vgm_comp <- rbind(vgm_classico, vgm_robusto)


ggplot() +
  geom_point(data = vgm_comp, aes(x = dist, y = gamma, color = Estimador), size = 3, alpha = 0.8) + 
  geom_line(data = vgm_comp, aes(x = dist, y = gamma, color = Estimador), 
            linewidth = 0.6, alpha = 0.6) +
  stat_function(fun = function(h) 2 + 10 * (1 - exp(-h/15)), aes(linetype = "Modelo Verdadeiro (Gerador)"), 
                color = "black", linewidth = 1) +
  scale_color_manual(values = c("Clássico (Matheron)" = "#D55E00", "Robusto (Cressie)" = "#0072B2")) +
  scale_linetype_manual(name = "", values = c("Modelo Verdadeiro (Gerador)" = "dashed")) +
  coord_cartesian(ylim = c(0, 25)) + 
  labs(x = "Distância (h)", 
       y = expression(Semivariância ~ gamma(h)), color="Estimador:") +
  theme_minimal() +
  theme(legend.position = "bottom")
Figura 3.5: Comparação de Robustez: O estimador de Matheron (laranja) é sensível aos outliers, superestimando a variância. O estimador de Cressie (azul) ignora a contaminação e ajusta-se quase perfeitamente ao Modelo Verdadeiro (tracejado).

Na definição teórica, o variograma é uma função contínua calculada para vetores de distância exatos \(\mathbf{h}\). Contudo, a realidade operacional dos levantamentos de campo impõe uma restrição fundamental: as amostras raramente estão dispostas numa grelha regular perfeita. Em dados reais, a probabilidade de encontrar múltiplos pares de pontos separados por uma distância vetorial exata (por exemplo, \(\|\mathbf{h}\| = 10.00\) metros a \(0^\circ\)) é, para todos os efeitos práticos, nula.

Se tentássemos calcular o estimador \(\hat{\gamma}(\mathbf{h})\) exigindo distâncias exatas, obteríamos apenas um par de pontos (ou nenhum) para cada distância única, resultando num gráfico caótico de ruído puro. Para viabilizar a inferência estrutural e garantir robustez estatística, é necessário proceder à regularização dos dados, agrupando os pares de pontos em classes de distância e direção, denominadas Lags (ou passos).

Cada ponto no variograma experimental representa, portanto, não uma distância única, mas a média estatística de todos os pares contidos num intervalo de tolerância \([\mathbf{h} - \epsilon, \mathbf{h} + \epsilon]\). A Figura 3.6 ilustra este processo de agrupamento: em torno de um ponto de referência \(\mathbf{s}_i\) (a vermelho), definem-se anéis concêntricos com uma espessura definida. Todos os vizinhos que caem dentro de um determinado anel (a azul) são considerados como estando aproximadamente à mesma distância, contribuindo conjuntamente para o cálculo da semivariância média daquele lag.

A definição correta da largura do lag e da tolerância angular constitui um compromisso delicado entre resolução e estabilidade:

  1. Intervalos demasiado estreitos: Resultam em classes com poucos pares (\(|N(\mathbf{h})|\) baixo). Como a variância do estimador é inversamente proporcional ao número de pares, isto gera um variograma ruidoso, instável e de difícil interpretação.

  2. Intervalos demasiado largos: Suavizam excessivamente a estrutura espacial. Ao fazer a média de pares muito distantes entre si, mascara-se o comportamento do variograma nas curtas distâncias, o que pode levar a uma estimativa incorreta do Efeito Pepita e da microestrutura do fenômeno.

Andre G. Journel e Huijbregts (1976) propõe, como regra empírica amplamente aceite, que o número de pares por lag não deve ser inferior a 30 para garantir a fiabilidade estatística da estimativa (Teorema do Limite Central). Adicionalmente, recomenda-se que a largura do lag seja coincidente com a distância média entre amostras vizinhas, maximizando assim o aproveitamento da informação disponível.

Código
pacman::p_load(ggplot2,dplyr)


set.seed(42)
n_points <- 60
df_points <- data.frame(
  id = 1:n_points,
  x = runif(n_points, -10, 10),
  y = runif(n_points, -10, 10)
)

center_pt <- data.frame(x = 0, y = 0)
df_points$dist <- sqrt((df_points$x - center_pt$x)^2 + (df_points$y - center_pt$y)^2)
lag_width <- 2.5   # Largura do Lag
n_lags <- 3        # Número de anéis para desenhar

df_points$lag_group <- cut(df_points$dist, 
                           breaks = seq(0, 15, by = lag_width),
                           labels = FALSE)

target_lag <- 2
df_points$status <- case_when(
  df_points$lag_group == target_lag ~ "Pares no Lag Alvo",
  TRUE ~ "Outros Pares"
)

create_circle <- function(r, center_x=0, center_y=0, npoints=100){
  tt <- seq(0, 2*pi, length.out = npoints)
  data.frame(x = center_x + r * cos(tt), y = center_y + r * sin(tt), r = r)
}

circles <- do.call(rbind, lapply(seq(lag_width, lag_width*4, by=lag_width), create_circle))
radius_inner <- (target_lag - 1) * lag_width
radius_outer <- target_lag * lag_width

ggplot() +
  annotate("path", x=circles$x[circles$r==radius_outer], y=circles$y[circles$r==radius_outer], color="gray80") +
  annotate("path", x=circles$x[circles$r==radius_inner], y=circles$y[circles$r==radius_inner], color="gray80") +
  geom_path(data = circles, aes(x, y, group = r), color = "black", linetype = "dashed", alpha = 0.5) +
  geom_point(data = df_points, aes(x, y, color = status, shape = status), size = 3) +
  geom_point(data = center_pt, aes(x, y), color = "red", size = 5, shape = 18) +
  annotate("text", x = 0.5, y = 0.5, label = "s_i", color = "red", vjust = -1, fontface="bold") +
  annotate("text", x = 0, y = -lag_width * 1.5, label = "Lag 1") +
  annotate("text", x = 0, y = -lag_width * 2.5, label = paste("Lag", target_lag, "\n(Intervalo Ativo)")) +
  annotate("segment", x = 0, y = lag_width, xend = 0, yend = lag_width * 2, 
           arrow = arrow(length = unit(0.2, "cm"), ends = "both")) +
  annotate("text", x = 0.5, y = lag_width * 1.5, label = "Largura\ndo Lag", hjust = 0, size = 3) +
  scale_color_manual(values = c("Pares no Lag Alvo" = "blue", "Outros Pares" = "gray70")) +
  scale_shape_manual(values = c("Pares no Lag Alvo" = 19, "Outros Pares" = 1)) +
  coord_fixed(xlim = c(-8, 8), ylim = c(-8, 8)) +
  theme_void() +
  labs(color = "Classificação:", shape = "Classificação") +
  theme(legend.position = "bottom", plot.title = element_text(hjust=0.5), plot.subtitle = element_text(hjust=0.5))
Figura 3.6: Esquematização do cálculo do Variograma Experimental: Os pontos observados (y) não estão a distâncias exatas, pelo que são agrupados em anéis concêntricos (Lags). Todos os pontos na área azul contribuem para o cálculo da variância média daquele Lag específico.
Código
if (!require("pacman")) install.packages("pacman")
pacman::p_load(gstat, sf, ggplot2, sp, patchwork)

#Carregar dados exemplo (Meuse - metais pesados)
data(meuse)
# Converter para objeto sf
meuse_sf <- st_as_sf(meuse, coords = c("x", "y"), crs = 28992)

#Variograma Cloud (Todos os pares de pontos possíveis)
# Mostra a dispersão bruta das diferenças ao quadrado
v_cloud <- variogram(log(zinc) ~ 1, meuse_sf, cloud = TRUE)

p1 <- ggplot(v_cloud, aes(x = dist, y = gamma)) +
  geom_point(alpha = 0.2, size = 0.5) +
  labs(title = "", 
       x = "Distância", y = "Semivariância") +
  theme_minimal()

#Variograma Experimental (Experimental / Binned)
# Agrupa a nuvem em lags (classes de distância) para obter a média
v_exp <- variogram(log(zinc) ~ 1, meuse_sf, cutoff = 1500, width = 100)

p2 <- ggplot(v_exp, aes(x = dist, y = gamma)) +
  geom_point(size = 1, color = "blue") +
  geom_text(aes(label = np), vjust = -0.5, size = 3) + # Número de pares
  labs(title = "", 
       subtitle = "Números indicam pares por lag",
       x = "Distância", y = "Semivariância") +
  theme_minimal()

p1 ; p2
(a) Variograma Cloud (Bruto)
(b) Variograma Experimental (Médias)
Figura 3.7: Cálculo do Variograma Experimental: Nuvem (Cloud) vs. Experimental (Binned)
ImportanteSaiba mais

Para compreender melhor os diferentes tipos de variograma e suas aplicações práticas, recomenda-se a leitura do Capítulo 3 do livro Scalon (2024).

3.6 Modelagem do Variograma

O cálculo do variograma experimental, conforme detalhado na secção anterior, resulta num conjunto discreto de estimativas pontuais \(\hat{\gamma}(\mathbf{h}_k)\) para distâncias de separação específicas. No entanto, o sistema de equações da Krigagem exige o conhecimento do valor da semivariância para qualquer distância contínua \(\mathbf{h}\) dentro do domínio de estudo, e não apenas para os intervalos amostrados. Poder-se-ia intuir que uma simples interpolação linear ou spline entre os pontos experimentais seria suficiente para resolver esta lacuna. Contudo, tal procedimento é inválido e perigoso para a inferência.

Para garantir a existência e unicidade da solução do sistema de Krigagem e, crucialmente, para assegurar que a variância de estimativa calculada seja sempre não-negativa (\(\sigma_E^2 \ge 0\)), a função utilizada para modelar a dependência espacial deve satisfazer a condição de definição condicionalmente negativa (no caso do variograma) ou definição positiva (no caso da covariância) (George Matheron 1971; Cressie 1993). Funções arbitrárias ou interpolações empíricas raramente satisfazem estas desigualdades. Consequentemente, a prática geoestatística impõe a substituição dos pontos experimentais por um modelo teórico paramétrico \(\gamma(\mathbf{h}; \boldsymbol{\theta})\) que seja válido (admissível). O processo de modelagem consiste, portanto, em ajustar uma curva teórica aos dados empíricos, estimando o vetor de parâmetros \(\boldsymbol{\theta} = (C_0, C, a)\) que melhor representa a estrutura de continuidade do fenômeno.

Entre a vasta família de funções admissíveis (Entre a vasta família de funções admissíveis (ver Banerjee, Carlin, e Gelfand (2003), p. 27-28), três modelos isotrópicos destacam-se na literatura aplicada devido à sua interpretabilidade: o modelo Esférico, o Exponencial e o Gaussiano (Wackernagel 2003).

Modelo Esférico

O Modelo Esférico descreve fenômenos com uma transição clara e abrupta entre a dependência espacial e a independência. O seu comportamento caracteriza-se por um crescimento quase linear na origem que se curva progressivamente até atingir o patamar exatamente na distância definida pelo alcance \(a\). Para uma distância escalar \(h = \|\mathbf{h}\|\), é definido por:

\[\gamma(h) = \begin{cases} C_0 + c \left( \frac{3h}{2a} - \frac{1}{2}\left(\frac{h}{a}\right)^3 \right) & \text{se } 0 < h \le a \\ C_0 + c & \text{se } h > a \end{cases} \tag{3.8}\]

Em contraste, muitos fenômenos ambientais, como a dispersão de poluentes ou propriedades do solo, exibem uma continuidade mais suave e persistente, melhor descrita pelo Modelo Exponencial.

Modelo Exponencial

Diferentemente do modelo esférico, o exponencial é assintótico: ele cresce rapidamente na origem mas nunca atinge o patamar, aproximando-se dele indefinidamente. A sua formulação é dada por

\[\gamma(h) = C_0 + C(1 - \exp(-h/a)) \tag{3.9}\]

Devido a esta natureza assintótica, o parâmetro \(a\) a Eq. 3.9 não representa o alcance geométrico onde a correlação se anula, mas sim um parâmetro de escala. Convenciona-se, portanto, definir o Alcance Prático (\(a' \approx 3a\)) como a distância na qual o variograma atinge \(95\%\) do valor do patamar.

Modelo Gaussiano

No extremo da continuidade encontra-se o Modelo Gaussiano, utilizado para representar fenômenos extremamente regulares e infinitamente diferenciáveis. A sua característica distintiva é o comportamento parabólico na origem (\(h^2\)), indicando uma variação muito suave a curtas distâncias. A equação define-se como

\[\gamma(h) = C_0 + c(1 - \exp(-h^2/a^2)), \tag{3.10}\]

com um alcance prático de aproximadamente \(\sqrt{3}a\). Laslett (1994) e Wackernagel (2003) demonstram que a utilização do modelo Gaussiano sem um efeito pepita (\(C_0 = 0\)) pode conduzir a instabilidades numéricas severas na inversão da matriz de krigagem (singularidade) e gerar artefactos irrealistas na predição, devendo a sua aplicação ser sempre acompanhada de uma componente de ruído, ainda que infinitesimal.

Código
nugget <- 0
sill_total <- 10  # C0 + C
alcance_pratico <- 30 

h <- seq(0, 50, by = 0.5)

gamma_sph <- ifelse(h <= alcance_pratico,
                    nugget + sill_total * (1.5 * (h/alcance_pratico) - 0.5 * (h/alcance_pratico)^3),
                    sill_total)

#Modelo Exponencial 
a_exp <- alcance_pratico / 3
gamma_exp <- nugget + sill_total * (1 - exp(-h/a_exp))

#Modelo Gaussiano
a_gau <- alcance_pratico / sqrt(3)
gamma_gau <- nugget + sill_total * (1 - exp(-(h^2)/(a_gau^2)))

df_modelos <- data.frame(Distancia = h,
                         Esferico = gamma_sph,
                         Exponencial = gamma_exp,
                         Gaussiano = gamma_gau)

df_long <- pivot_longer(df_modelos, cols = -Distancia, names_to = "Modelo", values_to = "Gamma")

ggplot(df_long, aes(x = Distancia, y = Gamma, color = Modelo, linetype = Modelo)) +
  geom_line(size = 1) +
  geom_hline(yintercept = sill_total, linetype = "dashed", color = "black") +
  annotate("text", x = 45, y = sill_total + 0.3, label = "Patamar (Sill)", color = "black") +
  
  scale_color_manual(values = c("Esferico" = "black", "Exponencial" = "red", "Gaussiano" = "blue")) +
  scale_linetype_manual(values = c("solid", "solid", "solid")) +
  
  labs(x = "Distância (h)", y = expression(gamma(h))) +
  theme_classic() +
  theme(legend.position = "bottom")
Figura 3.8: Comparação dos Modelos Teóricos: O Esférico (linear na origem) atinge o patamar abruptamente. O Exponencial sobe rápido mas estabiliza lentamente (assintótico). O Gaussiano (parabólico na origem) representa fenômenos muito suaves.

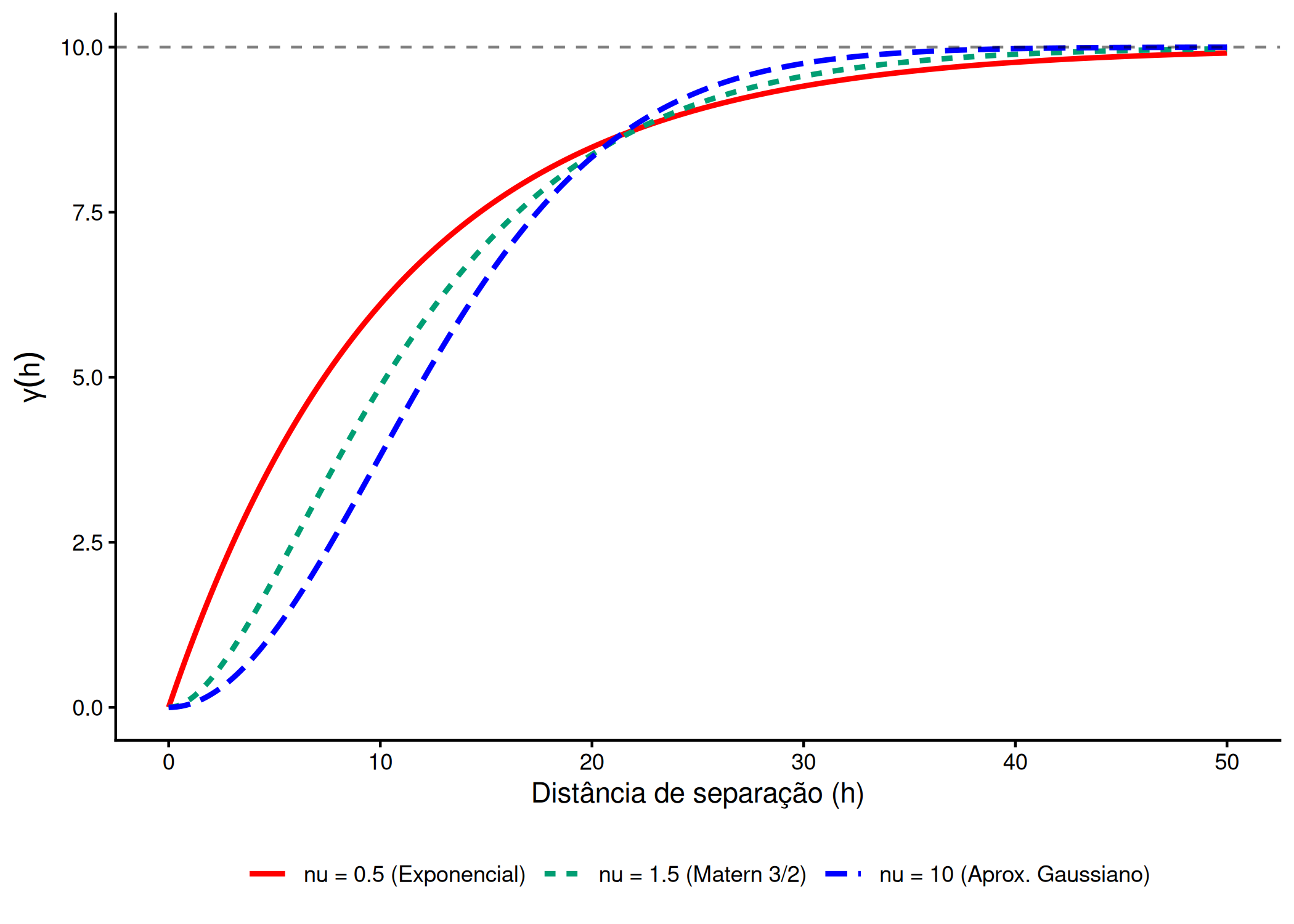
Para unificar estas abordagens, Guttorp e Gneiting (2006) defendem que modelos da família Matérn devem ser preferidos devido à sua flexibilidade superior. Enquanto outros modelos impõem uma suavidade fixa ao processo, a família Matérn possui um parâmetro de forma \(\nu\) (suavidade) que permite aos dados ditar o grau de diferenciabilidade do campo aleatório \(Y(\mathbf{s})\).

Como definido anteriormente, para processos estacionários de segunda ordem, o semivariograma relaciona-se diretamente com a função de covariância através de \(\gamma(h) = C(\mathbf{0}) - C(h)\).

A formulação da família Matérn distingue-se pela introdução de um parâmetro adicional que controla a suavidade do processo estocástico, permitindo que o modelo transite entre as formas exponencial e gaussiana de acordo com a evidência dos dados (Sahu 2022).

\[\gamma(h) = C_0 + C \left[ 1 - \frac{1}{2^{\nu-1}\Gamma(\nu)} \left(\frac{2\sqrt{\nu} \cdot h}{a}\right)^\nu K_\nu\left(\frac{2\sqrt{\nu} \cdot h}{a}\right) \right]\]

Onde,

  • \(C\) (Contribuição ou Variância Estrutural) representa a parte do patamar explicada pela continuidade espacial. No limite \(h \to \infty\), o termo de correlação anula-se e o semivariograma estabiliza no patamar total \(C_0 + C\).

  • \(a\) (Alcance) define a escala de distância da dependência. Tal como nos modelos exponencial e gaussiano, este parâmetro dita quão rápido a semivariância cresce em direção ao patamar.

  • \(\nu\) (Parâmetro de suavidade) dita a diferenciabilidade do campo aleatório \(Y(\mathbf{s})\).

  • \(K_\nu(\cdot)\) representa a função de Bessel modificada de segunda espécie de ordem \(\nu\), que garante que o modelo seja válido (positivo definido) em espaços multidimensionais.

Código
matern_semivgm <- function(h, C0 = 0, C = 1, a = 10, nu = 0.5) {
  if (h == 0) return(0)
  
  #correlação Matérn
  # arg = (2 * sqrt(nu) * h) / a
  arg <- (2 * sqrt(nu) * h) / a
  
  term1 <- 1 / (2^(nu - 1) * gamma(nu))
  term2 <- (arg)^nu
  term3 <- besselK(arg, nu)
  
  correlacao <- term1 * term2 * term3
  # gamma(h) = C0 + C * (1 - rho(h))
  return(C0 + C * (1 - correlacao))
}

h_seq <- seq(0, 50, by = 0.2)
contribuicao <- 10
alcance_a <- 15 

df_matern <- data.frame()

for (nu_val in c(0.5, 1.5, 10)) {
  gamma_vals <- sapply(h_seq, matern_semivgm, C0 = 0, C = contribuicao, a = alcance_a, nu = nu_val)
  nome_modelo <- case_when(
    nu_val == 0.5 ~ "nu = 0.5 (Exponencial)",
    nu_val == 1.5 ~ "nu = 1.5 (Matern 3/2)",
    nu_val == 10  ~ "nu = 10 (Aprox. Gaussiano)"
  )
  
  df_matern <- rbind(df_matern, data.frame(h = h_seq, gamma = gamma_vals, Modelo = nome_modelo))
}

ggplot(df_matern, aes(x = h, y = gamma, color = Modelo, linetype = Modelo)) +
  geom_line(linewidth = 1) +
  geom_hline(yintercept = contribuicao, linetype = "dashed", alpha = 0.5) +
  scale_color_manual(values = c("nu = 0.5 (Exponencial)" = "red", 
                                "nu = 1.5 (Matern 3/2)" = "#009E73", 
                                "nu = 10 (Aprox. Gaussiano)" = "blue")) +
  labs(x = "Distância de separação (h)", 
       y = expression(gamma(h))) +
  theme_classic() +
  theme(legend.position = "bottom",
        legend.title = element_blank())
Figura 3.9: A Família Matérn e a Flexibilidade de Suavidade (nu). O parâmetro nu controla o comportamento na origem: nu=0.5 recupera o modelo Exponencial, enquanto nu elevados aproximam-se do Gaussiano.

A flexibilidade desta família reside no facto de englobar os modelos clássicos como casos particulares. Sahu (2022) destaca que quando \(\nu = 0.5\), a função simplifica-se analiticamente para o modelo exponencial, \(\gamma(d) = C_0 + C(1 - \exp(-h/a))\), descrevendo processos contínuos mas rugosos (não diferenciáveis na origem). À medida que \(\nu \to \infty\), a função converge para o modelo Gaussiano, descrevendo processos infinitamente suaves e diferenciáveis Figura 3.9.

Esta capacidade de transitar entre o rugoso e o suave permite que os próprios dados informem o grau de regularidade do fenômeno, evitando suposições arbitrárias. Além disso, a modelagem respeita a Primeira lei da geografia de Tobler, assegurando que a semivariância cresça monotonicamente com a distância. Para o caso específico de \(\nu = 0.5\), o alcance prático (onde se atinge \(95\%\) do patamar) mantém a relação clássica de \(3a\), facilitando a interpretação dos parâmetros estimados.

3.7 Diagnóstico e Validação

3.7.1 Diagnóstico via Derivada na Origem (Teoria Espectral).

A distinção visual entre modelos teóricos, particularmente entre as famílias Exponencial e Gaussiana (ou Matérn com diferentes parâmetros de suavidade), é frequentemente ambígua na presença de ruído experimental. Gorsich e Genton (2000) propõem uma metodologia objetiva baseada na análise da derivada do variograma na origem, \(\gamma'(0)\), fundamentada na teoria espectral de campos aleatórios.

Pelo Teorema de Bochner, a função de covariância \(C(\mathbf{h})\) de um campo aleatório estacionário e isotrópico em \(\mathbb{R}^d\) possui uma representação espectral dada pela transformada de Hankel da densidade espectral \(f(\omega)\). Para a dimensão \(d=2\), tem-se:

\[C(h) = 2\pi \int_0^{\infty} J_0(\omega h) f(\omega) \omega \, d\omega\]

Onde \(J_0(\cdot)\) é a função de Bessel de primeira espécie de ordem zero. Sabemos que o semivariograma se relaciona com a covariância por \(\gamma(h) = C(0) - C(h)\). Consequentemente, a derivada do semivariograma é o simétrico da derivada da covariância: \(\gamma'(h) = -C'(h)\).

A suavidade do processo estocástico (a existência de derivadas em média quadrática do processo \(Y(\mathbf{s})\)) é determinada pela taxa de decaimento da densidade espectral \(f(\omega)\) em altas frequências. Gorsich e Genton (2000) demonstram que o comportamento de \(\gamma'(h)\) quando \(h \to 0\) discrimina classes de diferenciabilidade.

Análise Assintótica dos Modelos

1.Modelo Gaussiano: A função de covariância é dada por \(C(h) = \sigma^2 \exp(-h^2/a^2)\). A expansão de Taylor de segunda ordem em torno de zero é:

\[C(h) \approx \sigma^2 \left( 1 - \frac{h^2}{a^2} + O(h^4) \right)\]

O semivariograma correspondente é \(\gamma(h) = \sigma^2 - C(h) \approx \sigma^2 \frac{h^2}{a^2}\). A derivada em relação a \(h\) é: \(\gamma'(h) \approx \frac{2\sigma^2 h}{a^2}\). Tomando o limite na origem: \(\lim_{h \to 0} \gamma'(h) = 0\). Uma derivada nula na origem implica que o processo \(Y(\mathbf{s})\) é infinitamente diferenciável em média quadrática, caracterizando uma estrutura espacial extremamente suave.

  1. Modelo Exponencial: A função de covariância é \(C(h) = \sigma^2 \exp(-h/a)\). A expansão de Taylor de primeira ordem é:

\[C(h) \approx \sigma^2 \left( 1 - \frac{h}{a} + O(h^2) \right)\]

O semivariograma comporta-se como \(\gamma(h) \approx \sigma^2 \frac{h}{a}\). A derivada é: \(\gamma'(h) \approx \frac{\sigma^2}{a}\). Tomando o limite:\(\lim_{h \to 0} \gamma'(h) = \frac{\sigma^2}{a} > 0\). Uma derivada positiva constante na origem indica que o processo é contínuo em média quadrática, mas não diferenciável.

A aplicação prática deste diagnóstico requer o uso de um estimador não-paramétrico para \(\gamma(h)\) (como expansões de Bessel ou splines de suavização) e o cálculo numérico da sua derivada em \(h=0\).

Código
# Permite ver se as curvas de nível formam elipses
plot(
  variogram(log(zinc) ~ 1, meuse_sf, map = TRUE, cutoff = 1000, width = 50),
  main = "Mapa de Semivariância"
)

#Variogramas Direcionais
# alpha = direção (0=Norte, 45=Nordeste, 90=Leste, 135=Sudeste)
v_dir <- variogram(log(zinc) ~ 1, meuse_sf, alpha = c(0, 45, 90, 135))

ggplot(v_dir, aes(x = dist, y = gamma, color = factor(dir.hor))) +
  geom_point() +
  geom_line(linewidth = 0.5) +
  labs(
    title = "Variogramas Direcionais",
    color = "Direção (graus):",
    x = "Distância",
    y = "Semivariância"
  ) +
  theme_minimal() +
  theme(legend.position = "bottom")

# Nota: Se as curvas divergirem muito em altura (Patamar) = Anisotropia Zonal
# Se divergirem no alcance (distância onde estabiliza) = Anisotropia Geométrica
Figura 3.10: Diagnóstico de Anisotropia: (a) mapa de semivariância e (b) variogramas direcionais
Figura 3.11: Diagnóstico de Anisotropia: (a) mapa de semivariância e (b) variogramas direcionais

3.8 Construção de Modelos Válidos via Médias Móveis

Uma limitação fundamental na modelagem geoestatística é a necessidade de garantir que a função de variograma escolhida seja condicionalmente negativa definida (ou que a covariância seja positiva definida). O uso de funções arbitrárias pode levar a variâncias de krigagem negativas. Em vez de se restringir a uma lista fixa de modelos paramétricos pré-aprovados (como o Esférico ou Exponencial), Ver Hoef e Barry (1998) propõem uma abordagem construtiva baseada em médias móveis (convolução) que garante a validade matemática do modelo a priori.

Assuma-se que o processo espacial \(Y(\mathbf{s})\) é gerado pela suavização (convolução) de um ruído branco subjacente \(W(\mathbf{u})\) através de uma função de ponderação ou kernel \(g(\cdot)\) integrável ao quadrado.

Seja \(W(\mathbf{u})\) um processo de ruído branco em \(\mathbb{R}^d\) tal que \(E[dW(\mathbf{u})] = 0\), \(\text{Var}[dW(\mathbf{u})] = d\mathbf{u}\) (ou seja, \(\text{Cov}(dW(\mathbf{u}), dW(\mathbf{v})) = 0\) se \(\mathbf{u} \neq \mathbf{v}\))

O processo \(Y(\mathbf{s})\) define-se como a integral estocástica:

\[Y(\mathbf{s}) = \int_{\mathbb{R}^d} g(\mathbf{u} - \mathbf{s}) \, dW(\mathbf{u})\]

O nosso objetivo é encontrar a expressão teórica do variograma \(2\gamma(\mathbf{h})\) resultante deste processo construtivo.

\[2\gamma(\mathbf{h}) = \text{Var}[Y(\mathbf{s}+\mathbf{h}) - Y(\mathbf{s})] = E\left[ (Y(\mathbf{s}+\mathbf{h}) - Y(\mathbf{s}))^2 \right]\]

Substituímos \(Y(\cdot)\) pela sua definição integral:

\[ \begin{aligned} Y(\mathbf{s}+\mathbf{h}) - Y(\mathbf{s}) &= \int_{\mathbb{R}^d} g(\mathbf{u} - (\mathbf{s}+\mathbf{h})) \, dW(\mathbf{u}) - \int_{\mathbb{R}^d} g(\mathbf{u} - \mathbf{s}) \, dW(\mathbf{u}) \\ &= \int_{\mathbb{R}^d} \left[ g(\mathbf{u} - \mathbf{s} - \mathbf{h}) - g(\mathbf{u} - \mathbf{s}) \right] \, dW(\mathbf{u}) \end{aligned} \]

Uma propriedade fundamental das integrais estocásticas em relação ao ruído branco (Movimento Browniano) é a Isometria de Ito, que estabelece que a variância da integral estocástica é igual à integral do quadrado da função determinística integranda:

\[ \text{Var}\left[ \int_{\mathbb{R}^d} f(\mathbf{u}) \, dW(\mathbf{u}) \right] = \int_{\mathbb{R}^d} [f(\mathbf{u})]^2 \, d\mathbf{u} \]

\[ 2\gamma(\mathbf{h}) = \int_{\mathbb{R}^d} \left[ g(\mathbf{u} - \mathbf{s} - \mathbf{h}) - g(\mathbf{u} - \mathbf{s}) \right]^2 \, d\mathbf{u} \] Para demonstrar que o variograma depende apenas da separação \(\mathbf{h}\) e não da localização \(\mathbf{s}\), fazemos uma mudança de variável.

Seja \(\mathbf{x} = \mathbf{u} - \mathbf{s}\). Então, \(d\mathbf{x} = d\mathbf{u}\) e os limites de integração (\(\mathbb{R}^d\)) permanecem inalterados.

\(g(\mathbf{u} - \mathbf{s}) \rightarrow g(\mathbf{x})\) e \(g(\mathbf{u} - \mathbf{s} - \mathbf{h}) \rightarrow g(\mathbf{x} - \mathbf{h})\),

\[2\gamma(\mathbf{h}) = \int_{\mathbb{R}^d} \left[ g(\mathbf{x} - \mathbf{h}) - g(\mathbf{x}) \right]^2 \, d\mathbf{x}\]

Esta equação demonstra que o variograma é a autoconvolução da diferença do kernel. A implicação teórica mais poderosa deste resultado é a garantia de validade:

Teorema: Qualquer função \(g(\cdot)\) que seja de quadrado integrável (\(\int g(\mathbf{x})^2 d\mathbf{x} < \infty\)) gera automaticamente um modelo de variograma matematicamente válido (condicionalmente negativo definido). Isto elimina a necessidade de verificar a positividade da matriz de covariância a posteriori.

3.9 Anisotropia

A hipótese de isotropia assume que a estrutura de dependência espacial do processo estocástico \(Y(\mathbf{s})\) depende apenas da distância euclidiana entre os pontos, \(\|\mathbf{h}\|\), e não da direção do vetor de separação \(\mathbf{h}\). Isto implica que as isolinhas (ou isossuperfícies) do variograma \(\gamma(\mathbf{h})\) formam círculos (em \(\mathbb{R}^2\)) ou esferas (em \(\mathbb{R}^3\)).

Contudo, processos físicos geológicos e ambientais raramente são isotrópicos. A sedimentação, o fluxo de águas subterrâneas ou a dispersão eólica de poluentes criam direções preferenciais de continuidade. Quando a variabilidade espacial muda com a direção, o processo é denominado anisotrópico.

A modelagem da anisotropia não requer a criação de novas funções de variograma, mas sim a aplicação de transformações lineares afins sobre o sistema de coordenadas, mapeando o espaço anisotrópico original num espaço isotrópico equivalente. Classificamos a anisotropia em três categorias fundamentais: Geométrica, Zonal e Mista(Yamamoto e Landim 2013).

3.9.1 Anisotropia Geométrica

A anisotropia geométrica ocorre quando o alcance (\(a\)) da dependência espacial varia com a direção, mas o patamar (\(C_0 + C\)) permanece constante em todas as direções. As isolinhas de semivariância formam elipses, cujos eixos principais correspondem às direções de maior e menor continuidade.

Seja \(\gamma_{iso}(h; a)\) um modelo isotrópico com alcance \(a\). Num processo anisotrópico geométrico em \(\mathbb{R}^2\), definimos:

\(a_{max}\): O alcance máximo (direção de maior continuidade).

\(a_{min}\): O alcance mínimo (direção de menor variabilidade).

\(\phi\): O ângulo de azimute da direção de maior continuidade.

A razão de anisotropia é definida como o escalar \(\lambda = a_{max} / a_{min} \ge 1\) (ou o seu inverso, dependendo da convenção de software, aqui usaremos a definição de estiramento).

O objetivo é transformar o vetor de separação original \(\mathbf{h} = [h_x, h_y]^T\) num vetor transformado \(\mathbf{h}'\) tal que a estrutura se torne isotrópica com alcance padronizado (geralmente \(a_{min}\) ou 1). Esta transformação \(\mathbf{h}' = \mathbf{A}\mathbf{h}\) compõe-se de uma rotação e um escalonamento.

  • Passo 1: Rotação

Alinhamos o sistema de coordenadas com os eixos principais da anisotropia através da matriz de rotação \(\mathbf{R}(\phi)\):

\[\mathbf{R}(\phi) = \begin{bmatrix} \cos\phi & \sin\phi \\ -\sin\phi & \cos\phi \end{bmatrix}\]

  • Passo 2: Escalonamento

Reduzimos a distância ao longo do eixo maior para que corresponda à escala do eixo menor. A matriz de escalonamento \(\mathbf{S}\) é:

\[\mathbf{S} = \begin{bmatrix} 1/\lambda & 0 \\ 0 & 1 \end{bmatrix} \quad \text{onde } \lambda = \frac{a_{max}}{a_{min}}\]

Esta operação comprime o eixo maior, transformando a elipse de alcance num círculo de raio \(a_{min}\).

  • Passo 3: Variograma Anisotrópico

O vetor transformado é \(\mathbf{h}' = \mathbf{S} \mathbf{R}(\phi) \mathbf{h}\). A matriz de transformação completa \(\mathbf{A}\) é:

\[\mathbf{A} = \mathbf{S} \mathbf{R}(\phi) = \begin{bmatrix} \frac{\cos\phi}{\lambda} & \frac{\sin\phi}{\lambda} \\ -\sin\phi & \cos\phi \end{bmatrix}\]

O modelo de variograma anisotrópico \(\gamma_{aniso}(\mathbf{h})\) é obtido avaliando o modelo isotrópico na norma do vetor transformado:

\[\gamma_{aniso}(\mathbf{h}) = \gamma_{iso}(\|\mathbf{A}\mathbf{h}\|; a_{min})\]

Como \(\mathbf{A}\) é uma matriz não-singular, a transformação é bijectiva. Uma vez que \(\gamma_{iso}\) é uma função condicionalmente negativa definida (CND) em \(\mathbb{R}^d\), a composição \(\gamma_{iso}(\|\mathbf{A}\cdot\|)\) preserva a propriedade CND, garantindo que o modelo anisotrópico é válido para a krigagem (Cressie 1993).

3.9.2 Anisotropia Zonal

A anisotropia zonal ocorre quando o patamar (variância total) varia consoante a direção. Isto é teoricamente problemático para a hipótese de estacionariedade de segunda ordem, pois implica que a covariância na origem \(C(\mathbf{0})\) (a variância do processo) não é única.

Na prática, isto ocorre quando a variabilidade vertical é muito superior à horizontal, de tal forma que o variograma vertical atinge um patamar muito mais alto do que o horizontal, ou o variograma horizontal parece nunca atingir o patamar total do processo.

Para modelar a anisotropia zonal mantendo a validade do modelo, Andre G. Journel e Huijbregts (1976) propõem decompor o processo \(Y(\mathbf{s})\) na soma de processos independentes (estruturas aninhadas), onde alguns componentes atuam apenas em subespaços do domínio.

Seja \(\mathbf{h} = (h_x, h_y, h_z)\). O modelo é construído como:

\[\gamma(\mathbf{h}) = \gamma_{iso}(\|\mathbf{h}\|) + \gamma_{zonal}(|h_z|)\]

Onde:

\(\gamma_{iso}(\|\mathbf{h}\|)\): É uma componente isotrópica (ou geometricamente anisotrópica) que contribui para a variabilidade em todas as direções.

\(\gamma_{zonal}(|h_z|)\): É uma componente que depende apenas da distância vertical \(h_z\).

  • Na direção vertical (\(h_x=0, h_y=0\)), o vetor é \(\mathbf{h} = (0,0, h_z)\). O variograma total é:

\[\gamma(0,0, h_z) = \gamma_{iso}(h_z) + \gamma_{zonal}(h_z)\]

O patamar nesta direção é a soma dos patamares das duas estruturas: \(C_{total} = C_{iso} + C_{zonal}\).

  • Na direção horizontal (\(h_z=0\)), o vetor é \(\mathbf{h} = (h_x, h_y, 0)\). Como \(\gamma_{zonal}(0) = 0\) (por definição de variograma na origem), a equação reduz-se a:

\[\gamma(h_x, h_y, 0) = \gamma_{iso}(\sqrt{h_x^2 + h_y^2}) + 0\]

O patamar aparente na horizontal é apenas \(C_{iso}\).

A componente \(\gamma_{zonal}\) possui um alcance horizontal infinito. Modela-se como uma estrutura cujo alcance no plano \(xy\) tende a \(\infty\), contribuindo para a variância total apenas quando existe separação vertical. Isto reflete a realidade de camadas sedimentares onde a variação litológica é intensa verticalmente, mas as propriedades persistem lateralmente por longas distâncias.

3.9.3 Anisotropia Mista (ou Combinada)

A anisotropia mista é a generalização que permite modelar sistemas complexos onde diferentes escalas de variação possuem diferentes direções de continuidade. Por exemplo, a microvariabilidade (curta distância) pode ser isotrópica, enquanto a tendência regional (longa distância) segue uma direção preferencial.

Assume-se que o processo \(Y(\mathbf{s})\) é a soma de \(K\) componentes ortogonais independentes (escalas espaciais), \(Y(\mathbf{s}) = \sum_{k=1}^K Y_k(\mathbf{s})\).

Pela propriedade de aditividade da variância de variáveis independentes, o variograma total é a soma dos variogramas individuais:

\[\gamma_{total}(\mathbf{h}) = \sum_{k=1}^{K} \gamma_k(\mathbf{h})\]

Cada estrutura \(\gamma_k(\mathbf{h})\) pode ter a sua própria definição de anisotropia geométrica, com a sua própria matriz de transformação \(\mathbf{A}_k\). A equação geral para a anisotropia mista é ((Goovaerts 1997)):

\[\gamma(\mathbf{h}) = C_0 + \sum_{k=1}^{K} C_k \cdot \rho_k\left( \|\mathbf{A}_k \mathbf{h}\| \right)\]

Onde:

\(C_0\) é feito pepita (geralmente isotrópico, pois é ruído); \(C_k\) é contribuição da estrutura \(k\); \(\rho_k(\cdot)\) é função de correlação básica; \(\mathbf{A}_k\) é matriz de transformação específica para a estrutura \(k\).

3.10 Diagnóstico da Anisotropia

A anisotropia em um processo espacial \(Y(\mathbf{s})\) manifesta-se quando a estrutura de dependência espacial varia consoante a direção. Como discutido na Seção 3.9, a modelagem correta da anisotropia é crucial para garantir a precisão da predição espacial (krigagem) e a validade estatística das inferências. O diagnóstico da anisotropia envolve a detecção e a caracterização da dependência direcional, tipicamente através da análise de variogramas direcionais e mapas de variograma.

3.10.1 Variogramas Direcionais

A forma mais comum de diagnosticar a anisotropia é calcular variogramas experimentais \(\hat{\gamma}(\mathbf{h})\) para diferentes direções do vetor de separação \(\mathbf{h}\). Em vez de considerar todas as distâncias omnidirecionais, restringimos o cálculo a pares de pontos cuja separação vetorial cai dentro de setores angulares específicos (Andre G. Journel e Huijbregts 1976; Isaaks, Srivastava, et al. 1989).

Seja \(\theta\) o ângulo de direção (azimute) e \(\Delta\theta\) a tolerância angular (meia-janela). O estimador do variograma direcional para a direção \(\theta\) é dado por:

\[\hat{\gamma}(h, \theta) = \frac{1}{2|N(h, \theta)|} \sum_{(\mathbf{s}_i, \mathbf{s}_j) \in N(h, \theta)} (y(\mathbf{s}_i) - y(\mathbf{s}_j))^2\]

Onde \(N(h, \theta)\) é o conjunto de pares de locais \((\mathbf{s}_i, \mathbf{s}_j)\) tal que a distância \(\|\mathbf{s}_i - \mathbf{s}_j\| \approx h\) e o ângulo do vetor \(\mathbf{s}_i - \mathbf{s}_j\) está em \([\theta - \Delta\theta, \theta + \Delta\theta]\).

Tipicamente, calculam-se variogramas para quatro direções principais: \(0^\circ\) (Norte-Sul), \(45^\circ\) (Nordeste-Sudoeste), \(90^\circ\) (Leste-Oeste) e \(135^\circ\) (Sudeste-Noroeste) (Scalon 2024). A comparação visual destes variogramas permite identificar o tipo de anisotropia (ver seção Seção 3.9):

  • Anisotropia Geométrica: Se os variogramas atingem o mesmo patamar (\(C_0 + C\)) mas com alcances diferentes (\(a(\theta)\)), estamos perante uma anisotropia geométrica. O alcance varia com a direção segundo uma elipse.

  • Anisotropia Zonal: Se os variogramas estabilizam em patamares diferentes dependendo da direção, ou se numa direção específica o variograma não estabiliza (indicando uma tendência), temos anisotropia zonal.

  • Anisotropia mista se ocorre a anisotropia geometrica e zonal.

Uma ferramenta visual poderosa para detetar anisotropia é o mapa de variograma ou superfície de variograma. Em vez de traçar curvas \(\gamma(h)\) para direções discretas, representamos \(\hat{\gamma}(\mathbf{h})\) como uma superfície em função das coordenadas do vetor de separação \(\mathbf{h} = (h_x, h_y)\) (Goovaerts 1997).

O mapa é construído calculando a semivariância média para células de uma grelha no espaço dos vetores de separação. O centro do mapa corresponde a \(\mathbf{h} = (0,0)\) (semivariância zero). As cores ou curvas de nível representam a magnitude de \(\gamma(\mathbf{h})\).

Isotropia: é o contrario da anisotropia.Aqui, as curvas de nível formam círculos concêntricos em redor da origem.

  • Anisotropia Geométrica: As curvas de nível formam elipses. O eixo maior da elipse no mapa de variograma corresponde à direção de menor variabilidade (maior continuidade), que é a direção do alcance máximo (\(a_{max}\)). O eixo menor corresponde à direção de maior variabilidade (alcance mínimo \(a_{min}\)).

  • Anisotropia Zonal: As curvas de nível não fecham ou mostram comportamentos muito distintos em direções ortogonais, indicando diferenças nos patamares.

Para anisotropia geométrica, pode-se ajustar modelos teóricos aos variogramas direcionais experimentais e plotar os alcances estimados \(a(\theta)\) num diagrama polar (Rose Diagram). A forma resultante deve aproximar-se de uma elipse descrita pela equação polar:

\[a(\theta) = \frac{a_{max} a_{min}}{\sqrt{a_{min}^2 \cos^2(\theta - \phi) + a_{max}^2 \sin^2(\theta - \phi)}}\]

Onde \(\phi\) é o ângulo da direção de maior continuidade (eixo maior). Este diagnóstico permite estimar os parâmetros da transformação de coordenadas (rotação \(\phi\) e razão de anisotropia \(\lambda = a_{max}/a_{min}\)) necessários para corrigir a anisotropia e aplicar a krigagem num espaço isotrópico equivalente (Chiles e Delfiner 2012).

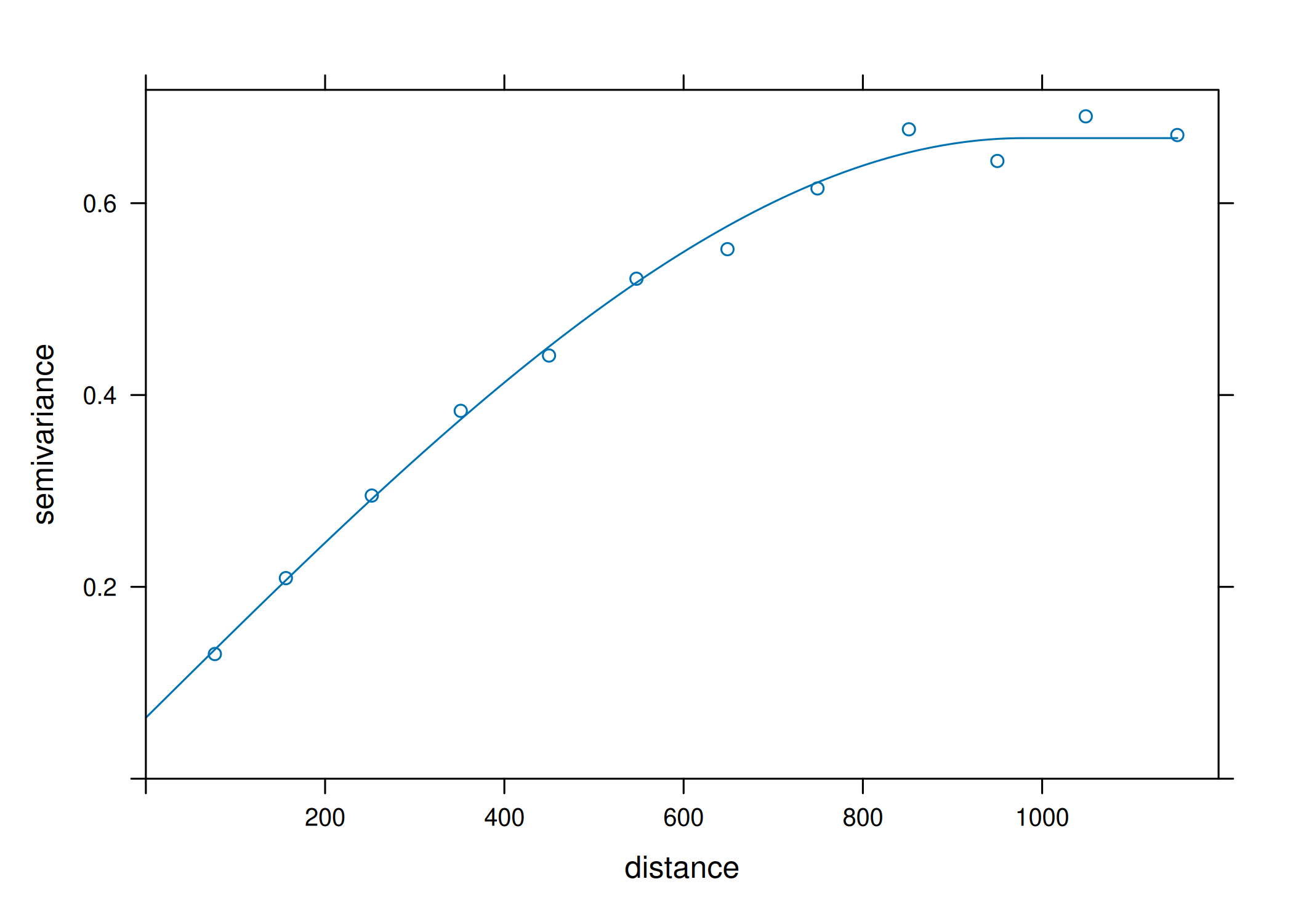
3.11 Ajuste de Modelos de semivariograma

A inferência da estrutura de dependência espacial é uma etapa crítica na geoestatística. Dado um conjunto de dados observados \(\mathbf{y} = (y(\mathbf{s}_1), \dots, y(\mathbf{s}_n))^\top\), em locais \(\mathbf{s}_1, \dots, \mathbf{s}_n\), o objetivo é estimar o vetor de parâmetros \(\boldsymbol{\theta}\) (efeito pepita, patamar, alcance, suavidade) de um modelo de variograma teórico \(2\gamma(\mathbf{h}; \boldsymbol{\theta})\) que descreva adequadamente o processo estocástico subjacente.

3.11.1 Mínimos Quadrados Ponderados

O método de mínimos quadrados ordinários é inadequada para o ajuste de variogramas devido à heterocedasticidade intrínseca dos estimadores. Cressie (1985) formalizou a dedução da variância assintótica do estimador de Matheron, justificando a necessidade de pesos.

Assumindo que o campo aleatório \(Y(\mathbf{s})\) é um processo Gaussiano estacionário. Definamos a variável aleatória da diferença entre dois pontos separados pelo vetor \(\mathbf{h}\) como \(D(\mathbf{h}) = Y(\mathbf{s} + \mathbf{h}) - Y(\mathbf{s})\), pela hipótese estacionaridade intrínseca, esta diferença tem média zero e variância definida pelo variograma teórico: \(D(\mathbf{h}) \sim \mathcal{N}(0, 2\gamma(\mathbf{h}))\). O estimador de variograma baseia-se no quadrado desta diferença. Vamos padronizar \(D(\mathbf{h})\) dividindo pelo desvio padrão \(\sqrt{2\gamma(\mathbf{h})}\) para obter uma normal padrão \(Y | X \sim \mathcal{N}(0,1)\):

\[\frac{D(\mathbf{h})}{\sqrt{2\gamma(\mathbf{h})}} \sim \mathcal{N}(0, 1)\]

Elevando ambos os lados ao quadrado, obtemos uma variável que segue uma distribuição Qui-quadrado com 1 grau de liberdade (\(\chi^2_1\)):

\[\left( \frac{D(\mathbf{h})}{\sqrt{2\gamma(\mathbf{h})}} \right)^2 \sim \chi^2_1 \implies [D(\mathbf{h})]^2 \sim 2\gamma(\mathbf{h}) \cdot \chi^2_1\]

Sabemos que a variância de uma variável \(\chi^2_1\) é exatamente 2. Usando a propriedade de variância \(\text{Var}(kX) = k^2 \text{Var}(X)\), a variância da diferença quadrática para um único par de pontos é:

\[ \begin{aligned} \text{Var}\left[ (Y(\mathbf{s}+\mathbf{h}) - Y(\mathbf{s}))^2 \right] &= \text{Var}\left[ 2\gamma(\mathbf{h}) \cdot \chi^2_1 \right] \\ &= [2\gamma(\mathbf{h})]^2 \cdot \text{Var}(\chi^2_1) \\ &= 4[\gamma(\mathbf{h})]^2 \cdot 2 \\ &= 8[\gamma(\mathbf{h})]^2 \end{aligned} \]

O estimador do semivariograma \(\hat{\gamma}(\mathbf{h})\) para um lag \(\mathbf{h}\) é a média de \(N(\mathbf{h})\) diferenças quadráticas, dividida por 2. Assumindo independência aproximada entre os pares (necessário para a derivação dos pesos Cressie (1985)):

\[ \begin{aligned} \text{Var}[\hat{\gamma}(\mathbf{h})] &= \text{Var}\left[ \frac{1}{2 N(\mathbf{h})} \sum_{i=1}^{N(\mathbf{h})} (Y(\mathbf{s}_i) - Y(\mathbf{s}*j))^2 \right] \\ &= \frac{1}{4 [N(\mathbf{h})]^2} \sum_{i=1}^{N(\mathbf{h})} \text{Var}\left[ (Y(\mathbf{s}_i) - Y(\mathbf{s}_j))^2 \right] \quad \text{(Soma de variâncias)} \\ &= \frac{1}{4 [N(\mathbf{h})]^2} \cdot N(\mathbf{h}) \cdot 8[\gamma(\mathbf{h})]^2 \quad \text{(Substituindo o resultado anterior)} \\ &= \frac{2[\gamma(\mathbf{h})]^2}{N(\mathbf{h})} \end{aligned} \]

Pelo princípio de Aitken, os pesos ótimos são o inverso da variância (\(w_k = 1/\text{Var}_k\)) (McBratney e Webster 1986; Cressie 1985). Ignorando a constante 2 (que não afeta a minimização) temos, \(w_k = \frac{N(\mathbf{h}_k)}{[\gamma(\mathbf{h}_k \boldsymbol{\theta})]^2}\). Substituindo os pesos na soma dos erros quadráticos, obtemos a função a ser minimizada para encontrar \(\boldsymbol{\theta}\):

\[ \begin{aligned} \hat{\boldsymbol{\theta}}_{WLS} &= \arg \min_{\boldsymbol{\theta}} \sum_{k=1}^{K} w(\mathbf{h}_k) \left[ \hat{\gamma}(\mathbf{h}_k) - \gamma(\mathbf{h}_k; \boldsymbol{\theta}) \right]^2, \quad w(\mathbf{h}_k) = \frac{|N(\mathbf{h}_k)|}{[\gamma(\mathbf{h}_k; \boldsymbol{\theta})]^2} \end{aligned} \]

onde \(K\) é número total de lags (classes de distância) considerados; \(N(\mathbf{h}_k)\) é número de pares de pontos no lag \(k\). \(\hat{\gamma}(\mathbf{h}_k)\) é o valor do semivariograma experimental (observado); \(\gamma(\mathbf{h}_k; \boldsymbol{\theta})\) é o valor do modelo teórico (predito); \([\gamma(\mathbf{h}_k; \boldsymbol{\theta})]^{-2}\) (implícito no denominador) penaliza fortemente erros em distâncias curtas (onde \(\gamma\) é pequeno), garantindo que o modelo se ajuste bem na origem, o que é crucial para a Krigagem.

3.12 Mínimos Quadrados Generalizados Explícitos (GLSE)

O método de mínimos quadrados ponderados (WLS) pressupõe que as estimativas do variograma em diferentes lags são estatisticamente independentes (\(\text{Cov}(\hat{\gamma}(\mathbf{h}_i), \hat{\gamma}(\mathbf{h}_j)) = 0\) para \(i \neq j\)). Na realidade, como os mesmos dados espaciais são reutilizados para calcular múltiplos lags, existe uma correlação significativa entre eles. Genton (1998) formalizou o problema como um ajuste de Mínimos Quadrados Generalizados, deduzindo a matriz de covariância completa \(\boldsymbol{\Sigma}_{\hat{\gamma}}\) dos estimadores.

Para deduzir a covariância entre dois estimadores do variograma, reescrevemos primeiro o estimador de Matheron em notação matricial. Seja \(\mathbf{y}\) o vetor de observações e \(\mathbf{A}(\mathbf{h})\) a matriz de incidência espacial para o lag \(\mathbf{h}\) (uma matriz esparsa que seleciona os pares de pontos separados por \(\mathbf{h}\)). O estimador pode ser expresso como uma forma quadrática:

\[2\hat{\gamma}(\mathbf{h}) = \frac{1}{|N(\mathbf{h})|} \mathbf{y}^\top \mathbf{A}(\mathbf{h}) \mathbf{y}\]

A matriz \(\mathbf{A}(\mathbf{h})\) é definida tal que \(\mathbf{y}^\top \mathbf{A}(\mathbf{h}) \mathbf{y} = \sum_{(\mathbf{s}_i, \mathbf{s}_j) \in N(\mathbf{h})} (y(\mathbf{s}_i) - y(\mathbf{s}_j))^2\).

Para calcular a covariância entre as estimativas em dois lags distintos, \(\mathbf{h}_u\) e \(\mathbf{h}_v\), recorremos a um teorema fundamental para formas quadráticas de vetores Gaussianos. Se \(\mathbf{y} \sim \mathcal{N}(\boldsymbol{\mu}, \boldsymbol{\Sigma}_y)\), então a covariância entre duas formas quadráticas \(\mathbf{y}^\top \mathbf{A} \mathbf{y}\) e \(\mathbf{y}^\top \mathbf{B} \mathbf{y}\) é dada por:

\[\text{Cov}(\mathbf{y}^\top \mathbf{A} \mathbf{y}, \mathbf{y}^\top \mathbf{B} \mathbf{y}) = 2 \text{tr}(\mathbf{A} \boldsymbol{\Sigma}_y \mathbf{B} \boldsymbol{\Sigma}_y) + 4\boldsymbol{\mu}^\top \mathbf{A} \boldsymbol{\Sigma}_y \mathbf{B} \boldsymbol{\mu}\]

Assumindo um processo de média zero (ou trabalhando com resíduos), o termo da média anula-se. Aplicando este teorema às matrizes de incidência espacial \(\mathbf{A}(\mathbf{h}_u)\) e \(\mathbf{A}(\mathbf{h}_v)\), obtemos a covariância entre os estimadores do variograma (elemento \(uv\) da matriz \(\boldsymbol{\Sigma}_{\hat{\gamma}}\)):

\[\begin{aligned} [\boldsymbol{\Sigma}_{\hat{\gamma}}]_{uv} &= \text{Cov}(2\hat{\gamma}(\mathbf{h}_u), 2\hat{\gamma}(\mathbf{h}_v)) \\ &= \text{Cov}\left( \frac{1}{|N(\mathbf{h}_u)|} \mathbf{y}^\top \mathbf{A}(\mathbf{h}_u) \mathbf{y}, \frac{1}{|N(\mathbf{h}_v)|} \mathbf{y}^\top \mathbf{A}(\mathbf{h}_v) \mathbf{y} \right) \\ &= \frac{1}{|N(\mathbf{h}_u)| |N(\mathbf{h}_v)|} \text{Cov}(\mathbf{y}^\top \mathbf{A}(\mathbf{h}_u) \mathbf{y}, \mathbf{y}^\top \mathbf{A}(\mathbf{h}_v) \mathbf{y}) \\ &= \frac{2}{|N(\mathbf{h}_u)| |N(\mathbf{h}_v)|} \text{tr}\left( \mathbf{A}(\mathbf{h}_u) \boldsymbol{\Sigma}_y(\boldsymbol{\theta}) \mathbf{A}(\mathbf{h}_v) \boldsymbol{\Sigma}_y(\boldsymbol{\theta}) \right) \end{aligned}\]

A matriz \(\boldsymbol{\Sigma}_{\hat{\gamma}}\) captura explicitamente a interdependência estatística entre os lags, dependendo tanto da geometria da amostragem (via matrizes \(\mathbf{A}\)) quanto da estrutura de covariância real dos dados (\(\boldsymbol{\Sigma}_y(\boldsymbol{\theta})\)).

A função objetivo a ser minimizada no método GLSE, que leva em conta esta estrutura de correlação completa, é a distância de Mahalanobis entre o vetor de estimativas empíricas \(\hat{\boldsymbol{\gamma}}\) e o vetor do modelo teórico \(\boldsymbol{\gamma}(\boldsymbol{\theta})\):

\[\begin{aligned} \hat{\boldsymbol{\theta}}_{GLSE} &= \arg \min_{\boldsymbol{\theta}} (\hat{\boldsymbol{\gamma}} - \boldsymbol{\gamma}(\boldsymbol{\theta}))^\top [\boldsymbol{\Sigma}_{\hat{\gamma}}(\boldsymbol{\theta})]^{-1} (\hat{\boldsymbol{\gamma}} - \boldsymbol{\gamma}(\boldsymbol{\theta})) \end{aligned}\]

onde \(\hat{\boldsymbol{\gamma}}\) é o vetor contendo as estimativas \(\hat{\gamma}(\mathbf{h}_k)\) para todos os \(K\) lags; \(\boldsymbol{\gamma}(\boldsymbol{\theta})\) é o vetor correspondente dos valores teóricos; \([\boldsymbol{\Sigma}_{\hat{\gamma}}(\boldsymbol{\theta})]^{-1}\) é a inversa da matriz de covariância dos estimadores, que atua como uma matriz de pesos generalizada, penalizando não apenas a variância (elementos diagonais, como no WLS), mas também a redundância de informação entre lags correlacionados (elementos fora da diagonal). Este método é iterativo, pois a matriz de pesos depende dos próprios parâmetros \(\boldsymbol{\theta}\) que estamos a estimar.

3.12.1 Métodos de Máxima Verossimilhança (ML) e Máxima Verossimilhança Restrita (REML)

Enquanto o método dos Mínimos Quadrados Ponderados (WLS) minimiza a distância entre o variograma experimental e o modelo teórico, os métodos baseados em verossimilhança operam diretamente sobre o vetor de dados observados \(\mathbf{y(s)}\), sem a necessidade de calcular estatísticas intermédias (como a semivariância experimental). Lark (2000) e Diggle, Tawn, e Moyeed (1998) argumentam que esta abordagem é teoricamente mais eficiente, especialmente quando os dados são escassos ou a amostragem é irregular, pois utiliza toda a informação contida na distribuição conjunta dos dados.

Assuma-se que o campo aleatório \(Y(\mathbf{s})\) segue um modelo linear misto, composto por uma tendência determinística (\(\mathbf{X}\boldsymbol{\beta}\) - média ) e um componente estocástico espacialmente correlacionado (\(\boldsymbol{\eta}\)). Seja \(\mathbf{y} = (y(\mathbf{s}_1), \dots, y(\mathbf{s}_n))^\top\) o vetor de observações:

\[\mathbf{y} = \mathbf{X}\boldsymbol{\beta} + \boldsymbol{\eta}\]

onde \(\mathbf{X}\) é a matriz de desenho (\(n \times p\)) contendo as covariáveis (coordenadas, elevação, etc.); \(\boldsymbol{\beta}\) é o vetor (\(p \times 1\)) de parâmetros de tendência desconhecidos (efeitos fixos) e, \(\boldsymbol{\eta}\) é o vetor de resíduos aleatórios, assumido seguir uma distribuição normal multivariada com média zero e matriz de covariância \(\mathbf{V}(\boldsymbol{\theta})\).

A matriz de covariância \(\mathbf{V}(\boldsymbol{\theta})\) é parametrizada pelo vetor \(\boldsymbol{\theta}\) (alcance, patamar, efeito pepita) que desejamos estimar. O elemento \((i,j)\) desta matriz é dado por:

\[[\mathbf{V}(\boldsymbol{\theta})]_{ij} = \text{Cov}(Y(\mathbf{s}_i), Y(\mathbf{s}_j)) = C(\mathbf{s}_i - \mathbf{s}_j; \boldsymbol{\theta})\]

A função de densidade de probabilidade conjunta para o vetor \(\mathbf{y(s)}\), dado os parâmetros \(\boldsymbol{\beta}\) e \(\boldsymbol{\theta}\), é:

\[f(\mathbf{y} | \boldsymbol{\beta}, \boldsymbol{\theta}) = (2\pi)^{-n/2} |\mathbf{V}(\boldsymbol{\theta})|^{-1/2} \exp\left( -\frac{1}{2} (\mathbf{y} - \mathbf{X}\boldsymbol{\beta})^\top \mathbf{V}(\boldsymbol{\theta})^{-1} (\mathbf{y} - \mathbf{X}\boldsymbol{\beta}) \right)\]

A função de log-verossimilhança (\(L_{ML}\)) é o logaritmo natural desta densidade. Para estimar \(\boldsymbol{\theta}\), primeiro perfilamos a verossimilhança em relação a \(\boldsymbol{\beta}\). O estimador de Máxima Verossimilhança para \(\boldsymbol{\beta}\), fixado \(\boldsymbol{\theta}\), é o estimador de Mínimos Quadrados Generalizados (GLS):

\[\hat{\boldsymbol{\beta}}_{GLS} = (\mathbf{X}^\top \mathbf{V}(\boldsymbol{\theta})^{-1} \mathbf{X})^{-1} \mathbf{X}^\top \mathbf{V}(\boldsymbol{\theta})^{-1} \mathbf{y}\]

Substituindo \(\hat{\boldsymbol{\beta}}_{GLS}\) na equação da densidade, obtemos a verossimilhança perfilada a ser maximizada em relação a \(\boldsymbol{\theta}\):

\[\begin{aligned} L_{ML}(\boldsymbol{\theta}) &= -\frac{n}{2}\ln(2\pi) - \frac{1}{2}\ln|\mathbf{V}(\boldsymbol{\theta})| - \frac{1}{2}(\mathbf{y} - \mathbf{X}\hat{\boldsymbol{\beta}}_{GLS})^\top \mathbf{V}(\boldsymbol{\theta})^{-1} (\mathbf{y} - \mathbf{X}\hat{\boldsymbol{\beta}}_{GLS}) \end{aligned}\]

Cressie (1993) e Marchant e Lark (2007) destacam que existe uma tendência nos dados (\(\mu(\mathbf{s}) \neq \text{constante}\)), o estimador de Máxima Verossimilhança (ML) subestima a variância e o variograma, pois assume que os parâmetros da tendência (\(\boldsymbol{\beta}\)) são conhecidos, ignorando os graus de liberdade perdidos na sua estimação.

Para corrigir este viés, utiliza-se a Máxima Verossimilhança Restrita (REML).

Seja \(\mathbf{K}\) uma matriz de contrastes de dimensão \(n \times (n-p)\) tal que suas colunas geram o espaço ortogonal ao espaço das colunas de \(\mathbf{X}\).

\[\mathbf{K}^\top \mathbf{X} = \mathbf{0} \quad \text{e} \quad \text{posto}(\mathbf{K}) = n-p\]

Definimos o vetor de contrastes de erro transformados como \(\mathbf{w} = \mathbf{K}^\top \mathbf{y}\). A distribuição de \(\mathbf{w}\) depende apenas de \(\boldsymbol{\theta}\) e não de \(\boldsymbol{\beta}\):

\[ \begin{aligned} E[\mathbf{w}] &= E[\mathbf{K}^\top (\mathbf{X}\boldsymbol{\beta} + \boldsymbol{\eta})] = \mathbf{K}^\top \mathbf{X} \boldsymbol{\beta} + \mathbf{K}^\top E[\boldsymbol{\eta}] = \mathbf{0} \cdot \boldsymbol{\beta} + \mathbf{0} = \mathbf{0} \\ \text{Var}[\mathbf{w}] &= \mathbf{K}^\top \text{Var}[\mathbf{y}] \mathbf{K} = \mathbf{K}^\top \mathbf{V}(\boldsymbol{\theta}) \mathbf{K} \end{aligned} \]

A log-verossimilhança baseada nestes contrastes (Verossimilhança Restrita) é:

\[L_R(\boldsymbol{\theta}) = -\frac{1}{2} \ln|\mathbf{K}^\top \mathbf{V}(\boldsymbol{\theta}) \mathbf{K}| - \frac{1}{2} \mathbf{w}^\top (\mathbf{K}^\top \mathbf{V}(\boldsymbol{\theta}) \mathbf{K})^{-1} \mathbf{w} + \text{constante}\]

A implementação computacional direta desta fórmula é ineficiente devido à necessidade de construir a matriz \(\mathbf{K}\). Contudo, Harville (1977) provou duas identidades algébricas fundamentais que relacionam os componentes da verossimilhança restrita com as matrizes originais:

  1. Identidade do Determinante: \(\ln|\mathbf{K}^\top \mathbf{V} \mathbf{K}| = \ln|\mathbf{V}| + \ln|\mathbf{X}^\top \mathbf{V}^{-1} \mathbf{X}| - \ln|\mathbf{X}^\top \mathbf{X}| - 2\ln|\mathbf{K}|\)

Ignorando os termos que não dependem de \(\boldsymbol{\theta}\) (\(\mathbf{X}\) e \(\mathbf{K}\) são fixos), o termo relevante é \(\ln|\mathbf{V}| + \ln|\mathbf{X}^\top \mathbf{V}^{-1} \mathbf{X}|\).

  1. Identidade da Forma Quadrática: \(\mathbf{w}^\top (\mathbf{K}^\top \mathbf{V} \mathbf{K})^{-1} \mathbf{w} = (\mathbf{y} - \mathbf{X}\hat{\boldsymbol{\beta}}_{GLS})^\top \mathbf{V}^{-1} (\mathbf{y} - \mathbf{X}\hat{\boldsymbol{\beta}}_{GLS})\)

Isto demonstra que a forma quadrática nos contrastes é equivalente à soma ponderada dos quadrados dos resíduos GLS no espaço original.

Substituindo estas identidades na equação de \(L_R\), obtemos a função objetivo do REML apresentada por Marchant e Lark (2007):

\[ \begin{aligned} L_{REML}(\boldsymbol{\theta}) \propto -\frac{1}{2} \Bigg( & \underbrace{\ln|\mathbf{V}(\boldsymbol{\theta})|}_{\text{Ajuste da Covariância}} + \underbrace{(\mathbf{y} - \mathbf{X}\hat{\boldsymbol{\beta}}_{GLS})^\top \mathbf{V}(\boldsymbol{\theta})^{-1} (\mathbf{y} - \mathbf{X}\hat{\boldsymbol{\beta}}_{GLS})}_{\text{Ajuste aos Resíduos}} + \underbrace{\ln|\mathbf{X}^\top \mathbf{V}(\boldsymbol{\theta})^{-1} \mathbf{X}|}_{\text{Penalidade de Complexidade}} \Bigg) \end{aligned} \tag{3.11}\]

O termo adicional \(\ln|\mathbf{X}^\top \mathbf{V}^{-1} \mathbf{X}|\) atua como uma penalidade. Quanto maior a incerteza na estimação da tendência (refletida na variância do estimador \(\hat{\boldsymbol{\beta}}\), que é proporcional a \((\mathbf{X}^\top \mathbf{V}^{-1} \mathbf{X})^{-1}\)), maior será este termo logarítmico (pois estamos a tomar o log da inversa da variância, ou seja, da precisão/informação). Esta penalidade corrige a subestimação da variância inerente ao método ML, fornecendo estimativas não-viesadas para o variograma.

3.12.2 REML Robusto

O estimador REML padrão assume que os dados seguem uma distribuição Gaussiana. Consequentemente, a função de log-verossimilhança inclui um termo quadrático (a distância de Mahalanobis dos resíduos) que penaliza desvios em relação à média. Na presença de outliers (valores provenientes de um processo de contaminação com caudas pesadas), este termo quadrático cresce rapidamente, dominando a função de verossimilhança e forçando o modelo a inflacionar a variância (efeito pepita ou patamar) para acomodar os dados anómalos.

Marchant e Lark (2007), baseando-se no trabalho de Richardson e Welsh (1995), propõem o REML Robusto, que substitui a norma \(L_2\) (quadrática) por uma função de perda robusta (Huber) aplicada aos resíduos decorrelacionados.

Em dados geoestatísticos, os resíduos não são independentes; são correlacionados pela estrutura espacial \(\mathbf{V}(\boldsymbol{\theta})\). Para aplicar uma função de robustez (que geralmente assume independência), é necessário primeiro decorrelacionar os resíduos. Seja o modelo linear misto \(\mathbf{y} = \mathbf{X}\boldsymbol{\beta} + \boldsymbol{\eta}\), com \(\boldsymbol{\eta} \sim N(\mathbf{0}, \mathbf{V}(\boldsymbol{\theta}))\). Definimos a raiz quadrada inversa da matriz de covariância, \(\mathbf{V}^{-1/2}\), tal que \(\mathbf{V}^{-1/2} \mathbf{V} (\mathbf{V}^{-1/2})^T = \mathbf{I}\).

O vetor de resíduos padronizados e decorrelacionados \(\boldsymbol{\epsilon}^*\) é dado por:

\[\boldsymbol{\epsilon}^*(\boldsymbol{\beta}, \boldsymbol{\theta}) = \mathbf{V}(\boldsymbol{\theta})^{-1/2} (\mathbf{y} - \mathbf{X}\boldsymbol{\beta})\]

Desta forma, sob a hipótese nula (sem contaminação), \(\boldsymbol{\epsilon}^* \sim N(\mathbf{0}, \mathbf{I})\).

No REML padrão, \(\boldsymbol{\beta}\) é estimado por GLS (\(\hat{\boldsymbol{\beta}}_{GLS}\)), que minimiza a soma dos quadrados de \(\boldsymbol{\epsilon}^*\). No REML Robusto, \(\hat{\boldsymbol{\beta}}_{R}\) é obtido minimizando uma função de perda robusta \(\rho_c\) sobre estes resíduos transformados.

Dado um \(\boldsymbol{\theta}\) fixo, \(\hat{\boldsymbol{\beta}}_{R}\) é o vetor que minimiza:

\[Q_{\beta}(\boldsymbol{\beta}) = \sum_{i=1}^{n} \rho_c \left( [\mathbf{V}^{-1/2} (\mathbf{y} - \mathbf{X}\boldsymbol{\beta})]_i \right)\]

Onde \(\rho_c(\cdot)\) é a função de Huber (definida abaixo). Esta etapa garante que a estimativa da tendência (média local) não seja “puxada” por valores extremos, fornecendo uma base estável para a estimativa da variância.

A função objetivo a ser minimizada para estimar \(\boldsymbol{\theta}\) substitui o termo quadrático da verossimilhança restrita (Robust Estimation of a Location Parameter) pela soma dos escores de Huber dos resíduos decorrelacionados, calculados com base no \(\hat{\boldsymbol{\beta}}_{R}\).

A função objetivo negativa de log-verossimilhança robusta é definida como:

\[L_{Rob}(\boldsymbol{\theta}) = \underbrace{\frac{1}{2}\ln|\mathbf{V}(\boldsymbol{\theta})| + \frac{1}{2}\ln|\mathbf{X}^T \mathbf{V}(\boldsymbol{\theta})^{-1} \mathbf{X}|}_{\text{Penalidades de Complexidade e Viés (Inalteradas)}} + \underbrace{\sum_{i=1}^{n} \rho_c \left( \left[ \mathbf{V}(\boldsymbol{\theta})^{-1/2} (\mathbf{y} - \mathbf{X}\hat{\boldsymbol{\beta}}_{R}) \right]_i \right)}_{\text{Termo de Ajuste Robusto aos Resíduos}}\]

onde \(\mathbf{V}(\boldsymbol{\theta})^{-1/2}\) garante que a métrica de distância considere a correlação espacial. Um outlier espacial não é apenas um valor alto, mas um valor que difere do que seria esperado dada a sua vizinhança. A decorrelação expõe estes valores. \(\hat{\boldsymbol{\beta}}_{R}\) é o estimador robusto da tendência. Se usássemos o GLS padrão aqui, o viés na média propagar-se-ia para a variância. \(\rho_c(u)\) (Função de Huber) é uma função híbrida que limita a influência de resíduos grandes. É definida por:

\[ \rho_c(u) = \begin{cases} \frac{1}{2}u^2 & \text{se } |u| \le c \\ c|u| - \frac{1}{2}c^2 & \text{se } |u| > c \end{cases} \]

\(|u| \le c\), para resíduos pequenos (dados normais), o método comporta-se como o REML padrão (máxima eficiência estatística sob normalidade). \(|u| > c\), para resíduos grandes (outliers), a penalidade cresce linearmente em vez de quadraticamente. Isso significa que a derivada da função de perda (a função de influência \(\psi(u)\)) torna-se constante, limitando o peso que uma única observação anômala pode exercer sobre a estimativa dos parâmetros \(\boldsymbol{\theta}\); \(c\) define o limiar entre dados normais e anómalos. Valores comuns situam-se entre \(1.345\) e \(2.0\). Marchant e Lark (2007) recomendam testar diferentes valores de \(c\) e selecionar aquele que minimiza o erro na validação cruzada, pois o grau de contaminação é desconhecido a priori.

Ao minimizar \(L_{Rob}(\boldsymbol{\theta})\), obtemos estimativas dos parâmetros do variograma (alcance, patamar) que representam a estrutura espacial dominante do processo \(Y(\mathbf{s})\), ignorando as perturbações locais causadas por contaminação.

Código
pacman::p_load(gt)
#Calcular Variograma Experimental
v_exp <- variogram(log(zinc) ~ 1, meuse_sf)

#Definir um modelo inicial (Chute inicial)
# psill = patamar parcial, range = alcance, nugget = efeito pepita
modelo_inicial <- vgm(psill = 0.5, model = "Sph", range = 900, nugget = 0.1)

# Ajuste Automático (Mínimos Quadrados Ponderados - WLS)
modelo_ajustado <- fit.variogram(v_exp, model = modelo_inicial)

modelo_ajustado%>%
  knitr::kable()
model psill range kappa ang1 ang2 ang3 anis1 anis2
Nug 0.0506602 0.0000 0.0 0 0 0 1 1
Sph 0.5906056 897.0044 0.5 0 0 0 1 1
Figura 3.12: Ajuste do modelo teórico sobre o experimental usando WLS
Código
preds <- variogramLine(modelo_ajustado, maxdist = max(v_exp$dist))

ggplot() +
  geom_point(data = v_exp, aes(x = dist, y = gamma), size = 3) +
  geom_line(data = preds, aes(x = dist, y = gamma),
            color = "red", linewidth =.5) +
  labs(
    title = "Modelo Esférico",
    subtitle = paste0(
      "Nugget: ", round(modelo_ajustado$psill[1], 3),
      " | Sill Total: ", round(sum(modelo_ajustado$psill), 3),
      " | Range: ", round(modelo_ajustado$range[2], 1)
    ),
    x = "Distância",
    y = "Semivariância"
  ) +
  theme_bw()
Figura 3.13: Ajuste do modelo teórico sobre o experimental usando WLS

3.13 Métodos de Predição

A predição espacial é o objetivo central da geoestatística: estimar o valor da variável regionalizada \(Y(\mathbf{s}_0)\) num local não amostrado \(\mathbf{s}_0 \in D^G\), baseando-se nos valores observados \(\mathbf{y} = (y(\mathbf{s}_1), \dots, y(\mathbf{s}_n))^\top\) em locais vizinhos. O método universalmente consagrado para esta tarefa é a Krigagem (termo cunhado por Matheron em homenagem a D.G. Krige).

A Krigagem é definida como o Melhor Estimador Linear Não Viciado (BLUE - Best Linear Unbiased Estimator) da variável \(Y(\mathbf{s}_0)\). Vamos decompor esta definição para compreender a sua fundamentação teórica (Cressie 1993; Wackernagel 2003).

  • Estimador Linear: O preditor \(\hat{Y}(\mathbf{s}_0)\) é uma combinação linear ponderada das observações disponíveis:

\[ \hat{Y}(\mathbf{s}_0) = \sum_{i=1}^{n} \lambda_i Y(\mathbf{s}_i) = \boldsymbol{\lambda}^\top \mathbf{Y} \]

onde \(\lambda_i\) são os pesos atribuídos a cada observação \(Y(\mathbf{s}_i)\) e \(\boldsymbol{\lambda} = (\lambda_1, \dots, \lambda_n)^\top\) é o vetor de pesos. O objetivo da krigagem é determinar os pesos ótimos \(\lambda_i\).

  • Não Viciado (Unbiasedness): Exige-se que, em média, o estimador não cometa erros sistemáticos. A esperança do erro de predição deve ser nula:

\[ E[\hat{Y}(\mathbf{s}_0) - Y(\mathbf{s}_0)] = 0 \implies E[\hat{Y}(\mathbf{s}_0)] = E[Y(\mathbf{s}_0)] \]

Substituindo a forma linear:

\[E\left[ \sum_{i=1}^{n} \lambda_i Y(\mathbf{s}_i) \right] = \sum_{i=1}^{n} \lambda_i E[Y(\mathbf{s}_i)] = E[Y(\mathbf{s}_0)]\]

Esta condição impõe restrições sobre os pesos \(\lambda_i\), dependendo do modelo assumido para a média \(E[Y(\mathbf{s})]\) (média constante, tendência polinomial, etc.).

  • Melhor (Best - Minimum Variance): Entre todos os estimadores lineares não viciados possíveis (aqueles que satisfazem as condições acima), a krigagem escolhe aquele que minimiza a variância do erro de predição (ou variância de estimação).

O erro de estimação é \(\varepsilon = \hat{Y}(\mathbf{s}_0) - Y(\mathbf{s}_0)\). A variância deste erro, que queremos minimizar, é:

\[ \sigma_E^2(\mathbf{s}_0) = \text{Var}(\hat{Y}(\mathbf{s}_0) - Y(\mathbf{s}_0)) = E\left[ (\hat{Y}(\mathbf{s}_0) - Y(\mathbf{s}_0))^2 \right] \]

A minimização desta função objetivo quadrática em relação aos pesos \(\lambda_i\), sujeita às restrições de não enviesamento, é realizada através do método dos Multiplicadores de Lagrange, resultando no Sistema de Krigagem.

Para minimizar a variância do erro sob restrições lineares, construímos a função de Lagrange. A forma geral do sistema depende das suposições sobre a média \(\mu(\mathbf{s})\). Contudo, a estrutura fundamental deriva da expansão da variância do erro em termos da covariância espacial \(C(\mathbf{h})\) ou do variograma \(\gamma(\mathbf{h})\).

\[ \begin{aligned} \sigma_E^2 &= \text{Var}\left( \sum_{i=1}^n \lambda_i Y(\mathbf{s}_i) - Y(\mathbf{s}_0) \right) \\ &= \text{Var}\left( \sum_{i=1}^n \lambda_i Y(\mathbf{s}_i) \right) + \text{Var}(Y(\mathbf{s}_0)) - 2\text{Cov}\left( \sum_{i=1}^n \lambda_i Y(\mathbf{s}_i), Y(\mathbf{s}_0) \right) \\ &= \sum_{i=1}^n \sum_{j=1}^n \lambda_i \lambda_j C(\mathbf{s}_i, \mathbf{s}_j) + C(0) - 2 \sum_{i=1}^n \lambda_i C(\mathbf{s}_i, \mathbf{s}_0) \end{aligned} \tag{3.12}\] onde \(C(\mathbf{s}_i, \mathbf{s}_j) = \text{Cov}(Y(\mathbf{s}_i), Y(\mathbf{s}_j))\) é a covariância entre dados, e \(C(0) = \sigma^2\) é a variância a priori do processo (Cressie 1993).

A minimização desta expressão (com restrições) conduz a um sistema de equações lineares da forma \(\mathbf{A}\mathbf{x} = \mathbf{b}\), onde:

  • \(\mathbf{A}\): Matriz de covariâncias (ou variogramas) entre as observações amostrais (redundância de informação).

  • \(\mathbf{x}\): Vetor das incógnitas (os pesos \(\lambda_i\) e os multiplicadores de Lagrange).

  • \(\mathbf{b}\): Vetor de covariâncias (ou variogramas) entre as observações e o ponto a estimar \(\mathbf{s}_0\) (proximidade da informação).

3.13.1 Krigagem Simples (KS)

A Krigagem Simples (KS) é a forma mais básica, assumindo que a média do processo \(E[Y(\mathbf{s})] = \mu\) é conhecida e constante em todo o domínio (Andre G. Journel e Huijbregts 1976). Como a média \(\mu\) é conhecida, o estimador baseia-se nos resíduos em relação à média:

\[\hat{Y}_{KS}(\mathbf{s}_0) = \mu + \sum_{i=1}^n \lambda_i (Y(\mathbf{s}_i) - \mu)\]

Não enviesamento

O estimador é não viciado por construção para quaisquer pesos \(\lambda_i\), pois \(E[Y(\mathbf{s}_i) - \mu] = 0\).

\[E[\hat{Y}_{KS}(\mathbf{s}_0) - Y(\mathbf{s}_0)] = \mu + \sum \lambda_i E[Y(\mathbf{s}_i) - \mu] - E[Y(\mathbf{s}_0)] = \mu + 0 - \mu = 0\] Portanto, não existem restrições de soma de pesos (sem multiplicadores de Lagrange).

Variância mínima

Para minimizar \(\sigma_E^2\) derivamos Eq. 3.12 em relação a cada peso \(\lambda_k\) (para \(k=1,\ldots, n\)) e igualamos a zero:

  • Derivada do termo linear:

\[ \frac{\partial}{\partial \lambda_k} \left( -2 \sum_{i=1}^n \lambda_i C(\mathbf{s}_i, \mathbf{s}_0) \right) = -2 C(\mathbf{s}_k, \mathbf{s}_0) \]

  • Derivada do termo quadrático (dupla soma):

Aqui, a derivada gera dois termos idênticos devido à simetria da covariância e à regra do produto:

\[ \frac{\partial}{\partial \lambda_k} \left( \sum_{i=1}^n \sum_{j=1}^n \lambda_i \lambda_j C(\mathbf{s}_i, \mathbf{s}_j) \right) = \sum_{j=1}^n \lambda_j C(\mathbf{s}_k, \mathbf{s}_j) + \sum_{i=1}^n \lambda_i C(\mathbf{s}_i, \mathbf{s}_k) \] Como \(C(\mathbf{s}_i, \mathbf{s}_k) = C(\mathbf{s}_k, \mathbf{s}_i)\), as duas somas são iguais.

  • A derivada de \(C(\mathbf{s}_0, \mathbf{s}_0)\) (constante) é zero.

Assim, temos:

\[ \begin{aligned} \frac{\partial \sigma_E^2}{\partial \lambda_k} &= \sum_{j=1}^n \lambda_j C(\mathbf{s}_k, \mathbf{s}_j) + \sum_{i=1}^n \lambda_i C(\mathbf{s}_i, \mathbf{s}_k) - 2C(\mathbf{s}_k, \mathbf{s}_0) = 0\\ &\text{Como as duas somas são idênticas, podemos combiná-las}\\ 2 \sum_{j=1}^n \lambda_j C_{kj} - 2C_{k0} &= 0 \implies \sum_{j=1}^n \lambda_j C_{kj} = C_{k0}, \quad \forall k=1,\dots,n \end{aligned} \]

Em notação matricial: \(\mathbf{\Sigma} \boldsymbol{\lambda} = \mathbf{c}\), onde \(\mathbf{\Sigma}\) é a matriz de covariância dados-dados e \(\mathbf{c}\) é o vetor de covariância dados-alvo. A solução é: \(\boldsymbol{\lambda} = \mathbf{\Sigma}^{-1} \mathbf{c}\).

A Krigagem Simples é raramente usada na prática pois o conhecimento exato da média global \(\mu\) é incomum. No entanto, é o fundamento teórico para métodos mais avançados como a Krigagem Gaussiana e Simulação condicional.

Código
pacman::p_load(stars, gstat, ggplot2, sf, patchwork, viridis)

data(meuse)
data(meuse.area) 

meuse_sf <- st_as_sf(meuse, coords = c("x", "y"), crs = 28992)

area_sf <- st_polygon(list(as.matrix(meuse.area))) |> 
  st_sfc(crs = 28992) |> 
  st_as_sf()

#Criar Grid de Predição 
# Precisamos definir ONDE queremos estimar
grid_pred <- st_bbox(area_sf) |>       
  st_as_stars(dx = 40, dy = 40) |>     # Define a resolução
  st_crop(area_sf)                     # RECORTA usando o polígono


#Ajuste do Variograma
v_ord <- variogram(log(zinc) ~ 1, meuse_sf)
m_ord <- fit.variogram(v_ord, vgm(0.6, "Sph", 900, 0.05))

media_conhecida <- mean(log(meuse$zinc))

#Krigagem Simples
# O resultado terá duas camadas: var1.pred e var1.var
ks <- krige(log(zinc) ~ 1, 
            locations = meuse_sf, 
            newdata = grid_pred, 
            model = m_ord, 
            beta = media_conhecida, debug.level = 0)

# Mapa de Predição
ks_masked <- ks[area_sf]
p1 <- ggplot() +
  geom_stars(data = ks_masked, aes(fill = var1.pred)) +
  geom_sf(data = area_sf, fill = NA, color = "black", linewidth = 0.5) +
  scale_fill_viridis_c(option = "B", na.value = "transparent") +
  labs(title = "") +
  theme_void() +
  theme(plot.title = element_text(hjust = 0.5))

# Mapa de Variância (Erro)
# A variável de erro se chama 'var1.var'
p2 <- ggplot() +
  geom_stars(data = ks_masked, aes(fill = var1.var)) +
 geom_sf(data = area_sf, fill = NA, color = "black", size = 0.5) + # Contorno
  scale_fill_viridis_c(option = "B", na.value = "transparent") + 
  labs(title = "", fill = "Var", x = NULL, y = NULL) +
  theme_void() +
  theme(plot.title = element_text(hjust = 0.5))

p1; p2
(a) Predição
(b) Variância de krigagem
Figura 3.14: Krigagem simples

3.13.2 Krigagem Ordinária (KO)

A Krigagem Ordinária (KO) assume que a média é constante (\(E[Y(\mathbf{s})] = \mu\)) mas desconhecida (Cressie 1993). O modelo deve estimar a média implicitamente localmente, adaptando-se a flutuações locais do nível da variável.

O estimador é uma combinação linear direta:

\[\hat{Y}_{KO}(\mathbf{s}_0) = \sum_{i=1}^n \lambda_i Y(\mathbf{s}_i)\]

Para garantir o não enviesamento sem conhecer \(\mu\):

\[E[\hat{Y}_{KO}(\mathbf{s}_0)] = \sum \lambda_i E[Y(\mathbf{s}_i)] = \mu \sum \lambda_i = \mu \implies \sum_{i=1}^n \lambda_i = 1 \tag{3.13}\]

Para que o erro seja zero para qualquer \(\mu\), é necessário impor a restrição \(\sum_{i=1}^n \lambda_i = 1\).

A esperança na Eq. 3.13 pode ser rescrita por:

\[E[\hat{Y}_{KO} - Y_0] = \sum \lambda_i E[Y_i] - E[Y_0] = \mu \sum \lambda_i - \mu = \mu \left( \sum_{i=1}^n \lambda_i - 1 \right)\]

Como nosso problema agora não é simplesmente encontrar o mínimo de $ _E^2(_1, …, _n)$, e sim, encontrar o mínimo sujeito a uma restrição, isto é,

\[ \begin{aligned} & \underset{\lambda_1, \dots, \lambda_n}{\text{minimizar}} & & \sigma_E^2(\lambda_1, ..., \lambda_n) \\ & \text{sujeito a} & & \sum_{i=1}^n \lambda_i - 1 = 0 \end{aligned} \] temos que somos obrigados a introduzir uma nova variável, o multiplicador \(\nu\), e criamos a função Lagrangiana \(L\), que combina a função objetivo original e a restrição. O fator 2 é pura conveniência algébrica, pois cancela o 2 que surgirá das derivadas, simplificando as equações finais.

O Multiplicador de Lagrange é a ferramenta matemática usada para transformar um problema de otimização com restrições em um problema de otimização sem restrições, facilitando a solução. Assim, temos:

\[ \begin{aligned} L(\boldsymbol{\lambda}, \nu) &= \sigma_E^2 + 2\nu \left( \sum_{i=1}^n \lambda_i - 1 \right)\\ L(\boldsymbol{\lambda}, \nu) &= \sum_i \sum_j \lambda_i \lambda_j C_{ij} + C(0) - 2 \sum_i \lambda_i C_{i0} + 2\nu \left( \sum_i \lambda_i - 1 \right) \end{aligned} \]

Derivando em relação a \(\lambda_k\) e \(\nu\) obtemos:

  • \(\frac{\partial L}{\partial \lambda_k} = 2 \sum_{j=1}^n \lambda_j C_{kj} - 2 C_{k0} + 2\nu = 0 \implies \sum_{j=1}^n \lambda_j C_{kj} + \nu = C_{k0}\)

  • \(\frac{\partial L}{\partial \nu} = 2 \left( \sum_{i=1}^n \lambda_i - 1 \right) = 0 \implies \sum_{i=1}^n \lambda_i = 1\)

Isto resulta num sistema de Krigagem Ordinária equações:

O sistema de \((n+1)\) equações resultante (em termos de covariograma \(C(\cdot)\)) é:

\[\begin{cases} \sum_{j=1}^n \lambda_j C_{kj} + \nu = C_{k0}, & i=1, \dots, n \\ \sum_{j=1}^n \lambda_j = 1 \end{cases}\]

Em notação matricial \(\mathbf{A}_{KO} \mathbf{x}_{KO} = \mathbf{b}_{KO}\):

\[ \begin{bmatrix} C_{11} & \dots & C_{1n} & 1 \\ \vdots & \ddots & \vdots & \vdots \\ C_{n1} & \dots & C_{nn} & 1 \\ 1 & \dots & 1 & 0 \end{bmatrix} \begin{bmatrix} \lambda_1 \\ \vdots \\ \lambda_n \\ \nu \end{bmatrix} = \begin{bmatrix} C_{10} \\ \vdots \\ C_{n0} \\ 1 \end{bmatrix} \] A Krigagem Ordinária é robusta a tendências locais (drift) se a vizinhança de krigagem for restrita, pois reestima a média localmente em cada janela de busca.

Variância de Krigagem

Para obter a variância de krigagem ordinária \(\sigma_{KO}^2\), substituímos a relação de otimalidade (\(\sum \lambda_j C_{ij} = C_{i0} - \nu\)) na expressão original da variância do erro:

\[ \begin{aligned} \sigma_{KO}^2 &= \sum_{i=1}^n \lambda_i \underbrace{\left( \sum_{j=1}^n \lambda_j C_{ij} \right)}_{C_{i0} - \nu} + C(0) - 2 \sum_{i=1}^n \lambda_i C_{i0} \\ &= \sum_{i=1}^n \lambda_i (C_{i0} - \nu) + C(0) - 2 \sum_{i=1}^n \lambda_i C_{i0} \\ &= \sum_{i=1}^n \lambda_i C_{i0} - \nu \underbrace{\sum_{i=1}^n \lambda_i}_{1} + C(0) - 2 \sum_{i=1}^n \lambda_i C_{i0} \\ &= C(0) - \sum_{i=1}^n \lambda_i C_{i0} - \nu \end{aligned} \]

Em termos de variograma (\(\gamma (h)\)), e usando a relação \(C(h) = C(0) - \gamma(h)\), a expressão equivalente é (Andre G. Journel e Huijbregts 1976):

\[\sigma_{KO}^2 = \sum_{i=1}^n \lambda_i \gamma(\mathbf{s}_i - \mathbf{s}_0) + \nu - \gamma(\mathbf{0})\]

Note-se que \(\nu\) é o multiplicador de Lagrange, que pode ser interpretado como o custo em variância de não conhecermos a média verdadeira.

Se assumirmos que \(\gamma(\mathbf{0}) = 0\) (o variograma teórico na origem é nulo, o efeito pepita \(C_0\) é o limite quando \(h \to 0\)), a expressão simplifica-se. Em termos matriciais:

\[\sigma_{KO}^2(\mathbf{s}_0) = \mathbf{b}_{KO}^\top \mathbf{x}_{KO} = \sum_{i=1}^n \lambda_i \gamma_{i0} + \nu\]

A variância de krigagem depende apenas da configuração geométrica das amostras e do modelo de variograma, mas não depende dos valores observados \(y(\mathbf{s}_i)\) (propriedade de homocedasticidade da krigagem linear sob normalidade). O mapa de variância de krigagem reflete a densidade da amostragem:

  • É zero nos locais amostrados (se não houver efeito pepita/erro de medição e usarmos krigagem exata).

  • Aumenta à medida que nos afastamos dos pontos de dados.

  • Depende da estrutura espacial: modelos com maior efeito pepita ou menor alcance resultam em maior incerteza de predição.

Código
pacman::p_load(stars, gstat, ggplot2, sf, patchwork, viridis, sp)


data(meuse)
data(meuse.area) 

meuse_sf <- st_as_sf(meuse, coords = c("x", "y"), crs = 28992)

area_sf <- st_polygon(list(as.matrix(meuse.area))) |> 
  st_sfc(crs = 28992) |> 
  st_as_sf()

#Criar Grid de Predição 
# Precisamos definir ONDE queremos estimar
grid_pred <- st_bbox(area_sf) |>       
  st_as_stars(dx = 40, dy = 40) |>     
  st_crop(area_sf)                     

#Krigagem
# modelo_ajustado <- vgm(0.5, "Sph", 900, 0.1)

krigagem <- krige(
  log(zinc) ~ 1,
  locations = meuse_sf,
  newdata   = grid_pred,
  model     = modelo_ajustado, debug.level = 0
)

# var1.pred = Valor Estimado 
# var1.var = Variância de Krigagem (Erro)
# Mapa 1: Predição
p1 <- ggplot() +
  geom_stars(data = krigagem, aes(fill = var1.pred)) +
  geom_sf(data = area_sf, fill = NA, color = "black", size = 0.5) + # Contorno
  scale_fill_viridis_c(option = "B", name = "Log(Zinc)", na.value = "transparent") +
  labs(title = "") +
  theme_void()+
  theme(plot.title = element_text(hjust = 0.5))

# Mapa 2: Variância (Erro)
p2 <- ggplot() +
  geom_stars(data = krigagem, aes(fill = var1.var)) +
  geom_sf(data = area_sf, fill = NA, color = "black", size = 0.5) +
  scale_fill_viridis_c(option = "B", name = "Variância", na.value = "transparent") +
  labs(title = "") +
  theme_minimal() + #para colocar coordenadas
  theme(plot.title = element_text(hjust = 0.5),
        axis.title = element_blank()
        )

p1 ; p2
(a) Predição
(b) Variância de krigagem
Figura 3.15: Krigagem Ordinária

3.13.3 Krigagem Universal (KU)

Quando a média do processo não é constante, mas apresenta uma tendência sistemática (drift) que pode ser modelada como uma função determinística das coordenadas (ex: \(E[Y(\mathbf{s})] = \mu(\mathbf{s}) = \beta_0 + \beta_1 x + \beta_2 y\)), utilizamos a Krigagem Universal (KU) (George Matheron 1971).

Assumimos que a média é uma combinação linear de \(L+1\) funções de base conhecidas \(f_l(\mathbf{s})\) (monómios):

\[\mu(\mathbf{s}) = \sum_{l=0}^L a_l f_l(\mathbf{s}), \quad \text{com } f_0(\mathbf{s}) \equiv 1\] Isto pode ser reescrito como: \[ \begin{aligned} &Y(\mathbf{s}) = \mu(\mathbf{s}) + \delta(\mathbf{s}), \quad \text{com } E[\delta(\mathbf{s})] = 0, \quad \text{Cov}(\delta(\mathbf{s}_i), \delta(\mathbf{s}_j)) = C(\mathbf{s}_i, \mathbf{s}_j)\\ &\mu(\mathbf{s}) = \sum_{l=0}^{L} a_l f_l(\mathbf{s}), \quad f_0(\mathbf{s}) \equiv 1\\ &\hat{Y}(\mathbf{s}_0) = \sum_{i=1}^n \lambda_i Y(\mathbf{s}_i) \end{aligned} \] Condição de não enviesamento:

\[ \begin{aligned} E[\hat{Y}(\mathbf{s}_0) - Y(\mathbf{s}_0)] &= \sum_{i=1}^n \lambda_i \mu(\mathbf{s}_i) - \mu(\mathbf{s}_0)\\ &= \sum_{i=1}^n \lambda_i \sum_{l=0}^L a_l f_l(\mathbf{s}_i) - \sum_{l=0}^L a_l f_l(\mathbf{s}_0)\\ &= \sum_{l=0}^L a_l \left[ \sum_{i=1}^n \lambda_i f_l(\mathbf{s}_i) - f_l(\mathbf{s}_0) \right] \overset{!}{=} 0 \end{aligned} \]

Como isto deve ser verdade para quaisquer coeficientes \(a_l\) desconhecidos, os termos entre parênteses devem ser zero individualmente. Isto gera \(L+1\) restrições:

\[\sum_{i=1}^n \lambda_i f_l(\mathbf{s}_i) = f_l(\mathbf{s}_0), \quad \text{para } l=0, \dots, L\]

Variância do erro:

\[ \begin{aligned} \sigma_E^2 &= \text{Var}\left(\hat{Y}(\mathbf{s}_0) - Y(\mathbf{s}_0)\right)\\ &= \text{Var}\left(\sum_{i=1}^n \lambda_i \delta(\mathbf{s}_i) - \delta(\mathbf{s}_0)\right)\\ &= \sum_{i=1}^n \sum_{j=1}^n \lambda_i \lambda_j C(\mathbf{s}_i, \mathbf{s}_j) - 2\sum_{i=1}^n \lambda_i C(\mathbf{s}_i, \mathbf{s}_0) + C(\mathbf{s}_0, \mathbf{s}_0) \end{aligned} \]

De igual modo como feito na KO, introduzimos \(L+1\) multiplicadores de Lagrange \(\nu_l\).

\[ \begin{aligned} L(\boldsymbol{\lambda}, \boldsymbol{\nu}) &= \sigma_E^2 - 2\sum_{l=0}^L \nu_l \left(\sum_{i=1}^n \lambda_i f_l(\mathbf{s}_i) - f_l(\mathbf{s}_0)\right)\\ &= \sum_{i=1}^n\sum_{j=1}^n \lambda_i\lambda_j C_{ij} - 2\sum_{i=1}^n \lambda_i C_{i0} + C_{00} - 2\sum_{l=0}^L \nu_l\left(\sum_{i=1}^n \lambda_i f_{il} - f_{0l}\right) \end{aligned} \] Para procedermos com a minimização da variância, novamente calculamos as derivadas em relação a \(\lambda_i\) e \(\nu_l\) :

\[ \begin{aligned} \frac{\partial L}{\partial \lambda_k} &= \frac{\partial}{\partial \lambda_k}\left(\sum_{i=1}^n\sum_{j=1}^n \lambda_i\lambda_j C_{ij}\right) - 2C_{k0} - 2\sum_{l=0}^L \nu_l f_{kl}\\ &= \sum_{j=1}^n \lambda_j C_{kj} + \sum_{i=1}^n \lambda_i C_{ik} - 2C_{k0} - 2\sum_{l=0}^L \nu_l f_{kl}\\ 2\sum_{j=1}^n \lambda_j C_{kj} - 2C_{k0} - 2\sum_{l=0}^L \nu_l f_{kl} &= 0\\ \sum_{j=1}^n \lambda_j C_{kj} - \sum_{l=0}^L \nu_l f_l(\mathbf{s}_k) &= C_{k0}, \quad k = 1,\dots,n \end{aligned} \]

\[ \begin{aligned} \frac{\partial L}{\partial \nu_l} = -2\left(\sum_{i=1}^n \lambda_i f_l(\mathbf{s}_i) - f_l(\mathbf{s}_0)\right) &= 0\\ \sum_{i=1}^n \lambda_i f_l(\mathbf{s}_i) &= f_l(\mathbf{s}_0), \quad l = 0,\dots,L \end{aligned} \]

Para a notação matricial definimos:

\[ \begin{aligned} &\mathbf{C}_{nn} = [C_{ij}]_{n\times n}, \quad \mathbf{F}_{n\times(L+1)} = [f_l(\mathbf{s}_i)]\\ &\mathbf{c}_{n0} = [C_{i0}]_{n\times 1}, \quad \mathbf{f}_{L0} = [f_l(\mathbf{s}_0)]_{(L+1)\times 1}\\ &\boldsymbol{\lambda} = [\lambda_1, \dots, \lambda_n]^\top, \quad \boldsymbol{\nu} = [\nu_0, \dots, \nu_L]^\top \end{aligned} \] e obtemos:

\[ \begin{bmatrix} \mathbf{C}_{nn} & -\mathbf{F} \\ -\mathbf{F}^\top & \mathbf{0} \end{bmatrix} \begin{bmatrix} \boldsymbol{\lambda} \\ \boldsymbol{\nu} \end{bmatrix} = \begin{bmatrix} \mathbf{c}_{n0} \\ -\mathbf{f}_{L0} \end{bmatrix} \] É comum alguns autores definem \(\mu_l = -\nu_l\), obtendo:

\[ \begin{bmatrix} \mathbf{C}_{nn} & \mathbf{F} \\ \mathbf{F}^\top & \mathbf{0} \end{bmatrix} \begin{bmatrix} \boldsymbol{\lambda} \\ \boldsymbol{\mu} \end{bmatrix} = \begin{bmatrix} \mathbf{c}_{n0} \\ \mathbf{f}_{L0} \end{bmatrix} \]

Onde \(\mathbf{F}\) contém os valores das funções de deriva nos pontos amostrais.

A variância mínima é dada por:

\[ \sigma_{\min}^2 = C_{00} - \sum_{i=1}^n \lambda_i C_{i0} + \sum_{l=0}^L \nu_l f_l(\mathbf{s}_0) \]

A matriz \(\mathbf{C}_{nn}\) deve representar a covariância dos resíduos \(\delta(\mathbf{s})\), não dos dados originais \(Y(\mathbf{s})\). Como os resíduos são desconhecidos, na prática estima-se frequentemente o variograma na direção ortogonal à tendência ou usa-se REML para estimar o variograma dos resíduos diretamente.

Quando \(L=0\) (apenas \(f_0(\mathbf{s})=1\)), recupera-se o sistema da KO com um multiplicador \(\nu_0\).

(a) Predição
(b) Variância de krigagem
Figura 3.16: Krigagem Universal

3.13.4 Krigagem com Deriva Externa (KED)

A Krigagem com Deriva Externa (KED) é uma variante da Krigagem Universal onde a tendência \(\mu(\mathbf{s})\) não é modelada por coordenadas, mas sim por uma ou mais variáveis auxiliares (covariáveis) \(x_k(\mathbf{s})\) conhecidas exaustivamente em todo o domínio (ex: um Modelo Digital de Elevação para interpolar temperatura ou precipitação) (Goovaerts 1997).

O modelo para a média é: \(E[Y(\mathbf{s})] = a_0 + a_1 x_1(\mathbf{s})\)

\[ \begin{aligned} &Y(\mathbf{s}) = \mu(\mathbf{s}) + \delta(\mathbf{s}), \quad \text{com } E[\delta(\mathbf{s})] = 0, \quad \text{Cov}(\delta(\mathbf{s}_i), \delta(\mathbf{s}_j)) = C(\mathbf{s}_i, \mathbf{s}_j)\\ &\mu(\mathbf{s}) = a_0 + a_1 x(\mathbf{s}) \quad \text{(modelo linear com covariável } x\text{)}\\ &\hat{Y}(\mathbf{s}_0) = \sum_{i=1}^n \lambda_i Y(\mathbf{s}_i) \end{aligned} \] Condição de não enviesamento:

\[ \begin{aligned} E[\hat{Y}(\mathbf{s}_0) - Y(\mathbf{s}_0)] &= \sum_{i=1}^n \lambda_i \mu(\mathbf{s}_i) - \mu(\mathbf{s}_0)\\ &= \sum_{i=1}^n \lambda_i (a_0 + a_1 x(\mathbf{s}_i)) - (a_0 + a_1 x(\mathbf{s}_0))\\ &= a_0\left(\sum_{i=1}^n \lambda_i - 1\right) + a_1\left(\sum_{i=1}^n \lambda_i x(\mathbf{s}_i) - x(\mathbf{s}_0)\right) \overset{!}{=} 0 \end{aligned} \] Para que valha para quaisquer \(a_0, a_1\) desconhecidos é necessário que:

\[ \sum_{i=1}^n \lambda_i = 1 \quad \text{e} \quad \sum_{i=1}^n \lambda_i x(\mathbf{s}_i) = x(\mathbf{s}_0) \]

Variância do erro

\[ \begin{aligned} \sigma_E^2 &= \text{Var}\left(\hat{Y}(\mathbf{s}_0) - Y(\mathbf{s}_0)\right)\\ &= \text{Var}\left(\sum_{i=1}^n \lambda_i \delta(\mathbf{s}_i) - \delta(\mathbf{s}_0)\right)\\ &= \sum_{i=1}^n\sum_{j=1}^n \lambda_i\lambda_j C_{ij} - 2\sum_{i=1}^n \lambda_i C_{i0} + C_{00} \end{aligned} \] Novamente, introduzindo multiplicadores \(\nu_0\) e \(\nu_1\) e para minimizar derivamos derivamos:

\[ \begin{aligned} L(\boldsymbol{\lambda}, \nu_0, \nu_1) &= \sigma_E^2 - 2\nu_0\left(\sum_{i=1}^n \lambda_i - 1\right) - 2\nu_1\left(\sum_{i=1}^n \lambda_i x(\mathbf{s}_i) - x(\mathbf{s}_0)\right)\\ &= \sum_{i=1}^n\sum_{j=1}^n \lambda_i\lambda_j C_{ij} - 2\sum_{i=1}^n \lambda_i C_{i0} + C_{00} - 2\nu_0\left(\sum_{i=1}^n \lambda_i - 1\right) - 2\nu_1\left(\sum_{i=1}^n \lambda_i x_i - x_0\right) \end{aligned} \]

\[ \begin{aligned} \frac{\partial L}{\partial \lambda_k} &= \frac{\partial}{\partial \lambda_k}\left(\sum_{i=1}^n\sum_{j=1}^n \lambda_i\lambda_j C_{ij}\right) - 2C_{k0} - 2\nu_0 - 2\nu_1 x_k\\ &= \sum_{j=1}^n \lambda_j C_{kj} + \sum_{i=1}^n \lambda_i C_{ik} - 2C_{k0} - 2\nu_0 - 2\nu_1 x_k\\ &= 2\sum_{j=1}^n \lambda_j C_{kj} - 2C_{k0} - 2\nu_0 - 2\nu_1 x_k = 0\\ \sum_{j=1}^n \lambda_j C_{kj} - \nu_0 - \nu_1 x_k &= C_{k0}, \quad k = 1,\dots,n \end{aligned} \] \[ \begin{aligned} \frac{\partial L}{\partial \nu_0} &= -2\left(\sum_{i=1}^n \lambda_i - 1\right) = 0 \quad \Rightarrow \quad \sum_{i=1}^n \lambda_i = 1\\ \frac{\partial L}{\partial \nu_1} &= -2\left(\sum_{i=1}^n \lambda_i x_i - x_0\right) = 0 \quad \Rightarrow \quad \sum_{i=1}^n \lambda_i x_i = x_0 \end{aligned} \] Novamente definimos:

\[ \begin{aligned} &\mathbf{C}_{nn} = [C_{ij}]_{n\times n}, \quad \mathbf{X} = [1 \ x_i]_{n\times 2}, \quad \mathbf{c}_{n0} = [C_{i0}]_{n\times 1}\\ &\mathbf{x}_0 = \begin{bmatrix} 1 \\ x_0 \end{bmatrix}_{2\times 1}, \quad \boldsymbol{\lambda} = [\lambda_1, \dots, \lambda_n]^\top, \quad \boldsymbol{\nu} = [\nu_0, \nu_1]^\top \end{aligned} \] para obter o sistema:

\[ \begin{bmatrix} \mathbf{C}_{nn} & -\mathbf{X} \\ -\mathbf{X}^\top & \mathbf{0} \end{bmatrix} \begin{bmatrix} \boldsymbol{\lambda} \\ \boldsymbol{\nu} \end{bmatrix} = \begin{bmatrix} \mathbf{c}_{n0} \\ -\mathbf{z}_0 \end{bmatrix} \]

Alternativamente, com \(\boldsymbol{\mu} = -\boldsymbol{\nu}\):

\[ \begin{bmatrix} \mathbf{C}_{nn} & \mathbf{X} \\ \mathbf{X}^\top & \mathbf{0} \end{bmatrix} \begin{bmatrix} \boldsymbol{\lambda} \\ \boldsymbol{\mu} \end{bmatrix} = \begin{bmatrix} \mathbf{c}_{n0} \\ \mathbf{x}_0 \end{bmatrix} \] Variância mínima da krigagem:

\[ \sigma_{\text{KED}}^2 = C_{00} - \sum_{i=1}^n \lambda_i C_{i0} + \nu_0 + \nu_1 x_0 \] A KED é um caso particular da KU onde as funções de base são substituídas por covariáveis conhecidas. Para p covariáveis:

\[ \mu(\mathbf{s}) = a_0 + \sum_{k=1}^p a_k x_k(\mathbf{s}) \Rightarrow \sum_{i=1}^n \lambda_i x_k(\mathbf{s}_i) = x_k(\mathbf{s}_0), \ k=0,\dots,p \] com \(x_0(\mathbf{s}) \equiv 1\).

Uma vantagem da KED é que ela incorpora eficientemente informação auxiliar correlacionada com a variável primária, melhorando a precisão da interpolação quando a covariável captura padrões de larga escala. Note que esta covariável deve ser conhecida em todos os pontos (amostrados e não amostrados). Covariância \(C\) deve representar a dependência espacial dos resíduos após remover o efeito da covariável

(a) Variograma
(b) Predição
(c) Variância de krigagem
Figura 3.17: Krigagem com deriva externa

3.13.5 Co-Krigagem

A Co-Krigagem (CK) é a extensão multivariada da krigagem. Utiliza-se quando queremos estimar uma variável primária \(Y_1(\mathbf{s}_0)\) utilizando a correlação espacial não só com as suas próprias amostras, mas também com amostras de uma ou mais variáveis secundárias \(Y_2(\mathbf{s}), \dots, Y_k(\mathbf{s})\), que estão correlacionadas espacialmente com \(Y_1\) (co-regionalização) (Ver Hoef e Barry 1998; Wackernagel 2003). Assim, temos:

\[ \begin{aligned} &Y_1(\mathbf{s}) = \mu_1 + \delta_1(\mathbf{s}), \quad E[\delta_1(\mathbf{s})] = 0 \\ &Y_2(\mathbf{s}) = \mu_2 + \delta_2(\mathbf{s}), \quad E[\delta_2(\mathbf{s})] = 0 \\ &\text{Cov}(\delta_a(\mathbf{s}_i), \delta_b(\mathbf{s}_j)) = C_{ab}(\mathbf{s}_i, \mathbf{s}_j), \quad a,b = 1,2\\ &\hat{Y}_1(\mathbf{s}_0) = \sum_{i=1}^{n_1} \lambda_{1i} Y_1(\mathbf{s}_{1i}) + \sum_{j=1}^{n_2} \lambda_{2j} Y_2(\mathbf{s}_{2j}) \end{aligned} \]

Condição de não enviesamento:

\[ \begin{aligned} E[\hat{Y}_1(\mathbf{s}_0) - Y_1(\mathbf{s}_0)] &= \sum_{i=1}^{n_1} \lambda_{1i} \mu_1 + \sum_{j=1}^{n_2} \lambda_{2j} \mu_2 - \mu_1 \\ &= \mu_1\left(\sum_{i=1}^{n_1} \lambda_{1i} - 1\right) + \mu_2 \sum_{j=1}^{n_2} \lambda_{2j} \overset{!}{=} 0 \end{aligned} \] Como sempre para que valha para quaisquer \(\mu_1, \mu_2\) desconhecidos, definimos:

\[ \sum_{i=1}^{n_1} \lambda_{1i} = 1 \quad \text{e} \quad \sum_{j=1}^{n_2} \lambda_{2j} = 0 \]

Variância do erro:

\[ \begin{aligned} \sigma_E^2 &= \text{Var}\left(\hat{Y}_1(\mathbf{s}_0) - Y_1(\mathbf{s}_0)\right) \\ &= \text{Var}\left(\sum_{i=1}^{n_1} \lambda_{1i} \delta_1(\mathbf{s}_{1i}) + \sum_{j=1}^{n_2} \lambda_{2j} \delta_2(\mathbf{s}_{2j}) - \delta_1(\mathbf{s}_0)\right) \\ &= \sum_{i=1}^{n_1}\sum_{k=1}^{n_1} \lambda_{1i}\lambda_{1k} C_{11}(\mathbf{s}_{1i}, \mathbf{s}_{1k}) \\ &\quad + \sum_{j=1}^{n_2}\sum_{l=1}^{n_2} \lambda_{2j}\lambda_{2l} C_{22}(\mathbf{s}_{2j}, \mathbf{s}_{2l}) \\ &\quad + 2\sum_{i=1}^{n_1}\sum_{j=1}^{n_2} \lambda_{1i}\lambda_{2j} C_{12}(\mathbf{s}_{1i}, \mathbf{s}_{2j}) \\ &\quad - 2\sum_{i=1}^{n_1} \lambda_{1i} C_{11}(\mathbf{s}_{1i}, \mathbf{s}_0) - 2\sum_{j=1}^{n_2} \lambda_{2j} C_{12}(\mathbf{s}_{2j}, \mathbf{s}_0) \\ &\quad + C_{11}(\mathbf{s}_0, \mathbf{s}_0) \end{aligned} \] Definindo o Langrangiano temos:

\[ \begin{aligned} L(\boldsymbol{\lambda}_1, \boldsymbol{\lambda}_2, \nu_1, \nu_2) &= \sigma_E^2 - 2\nu_1\left(\sum_{i=1}^{n_1} \lambda_{1i} - 1\right) - 2\nu_2\sum_{j=1}^{n_2} \lambda_{2j} \end{aligned} \] cujas derivadas são:

\[ \begin{aligned} \frac{\partial L}{\partial \lambda_{1i}} = 2\sum_{k=1}^{n_1} \lambda_{1k} C_{11}(\mathbf{s}_{1i}, \mathbf{s}_{1k}) + 2\sum_{j=1}^{n_2} \lambda_{2j} C_{12}(\mathbf{s}_{1i}, \mathbf{s}_{2j}) - 2C_{11}(\mathbf{s}_{1i}, \mathbf{s}_0) - 2\nu_1 &= 0\\ \sum_{k=1}^{n_1} \lambda_{1k} C_{11}(\mathbf{s}_{1i}, \mathbf{s}_{1k}) + \sum_{j=1}^{n_2} \lambda_{2j} C_{12}(\mathbf{s}_{1i}, \mathbf{s}_{2j}) - \nu_1 &= C_{11}(\mathbf{s}_{1i}, \mathbf{s}_0) \end{aligned} \]

\[ \begin{aligned} \frac{\partial L}{\partial \lambda_{2j}} = 2\sum_{l=1}^{n_2} \lambda_{2l} C_{22}(\mathbf{s}_{2j}, \mathbf{s}_{2l}) + 2\sum_{i=1}^{n_1} \lambda_{1i} C_{12}(\mathbf{s}_{1i}, \mathbf{s}_{2j}) - 2C_{12}(\mathbf{s}_{2j}, \mathbf{s}_0) - 2\nu_2 &= 0\\ \sum_{l=1}^{n_2} \lambda_{2l} C_{22}(\mathbf{s}_{2j}, \mathbf{s}_{2l}) + \sum_{i=1}^{n_1} \lambda_{1i} C_{12}(\mathbf{s}_{1i}, \mathbf{s}_{2j}) - \nu_2 &= C_{12}(\mathbf{s}_{2j}, \mathbf{s}_0) \end{aligned} \] \[ \begin{aligned} \frac{\partial L}{\partial \nu_1} &= -2\left(\sum_{i=1}^{n_1} \lambda_{1i} - 1\right) = 0 \quad \Rightarrow \quad\sum_{i=1}^{n_1} \lambda_{1i} = 1 \\ \frac{\partial L}{\partial \nu_2} &= -2\sum_{j=1}^{n_2} \lambda_{2j} = 0 \quad \Rightarrow \quad \sum_{j=1}^{n_2} \lambda_{2j} = 0 \end{aligned} \]

Novamente, definimos:

\[ \begin{aligned} &\mathbf{C}_{11} = [C_{11}(\mathbf{s}_{1i}, \mathbf{s}_{1k})]_{n_1 \times n_1}, \quad \mathbf{C}_{22} = [C_{22}(\mathbf{s}_{2j}, \mathbf{s}_{2l})]_{n_2 \times n_2} \\ &\mathbf{C}_{12} = [C_{12}(\mathbf{s}_{1i}, \mathbf{s}_{2j})]_{n_1 \times n_2}, \quad \mathbf{C}_{21} = \mathbf{C}_{12}^\top \\ &\mathbf{c}_{10} = [C_{11}(\mathbf{s}_{1i}, \mathbf{s}_0)]_{n_1 \times 1}, \quad \quad \mathbf{c}_{20} = [C_{12}(\mathbf{s}_{2j}, \mathbf{s}_0)]_{n_2 \times 1} \\ &\mathbf{1}_{n_1} = [1, \dots, 1]^\top_{n_1 \times 1}, \quad \quad \quad \: \mathbf{1}_{n_2} = [1, \dots, 1]^\top_{n_2 \times 1} \\ &\boldsymbol{\lambda}_1 = [\lambda_{11}, \dots, \lambda_{1n_1}]^\top, \quad \quad \:\: \boldsymbol{\lambda}_2 = [\lambda_{21}, \dots, \lambda_{2n_2}]^\top \end{aligned} \] para obter o seguinte sistema:

\[ \begin{bmatrix} \mathbf{C}_{11} & \mathbf{C}_{12} & -\mathbf{1}_{n_1} & \mathbf{0}_{n_1} \\ \mathbf{C}_{21} & \mathbf{C}_{22} & \mathbf{0}_{n_2} & -\mathbf{1}_{n_2} \\ \mathbf{1}_{n_1}^\top & \mathbf{0}_{n_2}^\top & 0 & 0 \\ \mathbf{0}_{n_1}^\top & \mathbf{1}_{n_2}^\top & 0 & 0 \end{bmatrix} \begin{bmatrix} \boldsymbol{\lambda}_1 \\ \boldsymbol{\lambda}_2 \\ \nu_1 \\ \nu_2 \end{bmatrix} = \begin{bmatrix} \mathbf{c}_{10} \\ \mathbf{c}_{20} \\ 1 \\ 0 \end{bmatrix} \] Variância mínima da co-krigagem:

\[ \sigma_{\text{CK}}^2 = C_{11}(\mathbf{s}_0, \mathbf{s}_0) - \left(\sum_{i=1}^{n_1} \lambda_{1i} C_{11}(\mathbf{s}_{1i}, \mathbf{s}_0) + \sum_{j=1}^{n_2} \lambda_{2j} C_{12}(\mathbf{s}_{2j}, \mathbf{s}_0)\right) + \nu_1 \]

Importante
  • Para garantir que a matriz de covariâncias cruzadas seja positiva definida, as covariâncias devem ser modeladas como:

\[ C_{ab}(\mathbf{h}) = \sum_{k=1}^K B_{ab}^k \rho_k(\mathbf{h}) \] onde \(\rho_k(\mathbf{h})\) são funções de correlação básicas e \([B_{ab}^k]\) são matrizes de coregionalização definidas não-negativas.

  • Como descrito nas seções anteriores em geral, \(C_{12}(\mathbf{h}) = C_{21}(-\mathbf{h})\). Para processos estacionários, \(C_{12}(\mathbf{h}) = C_{21}(\mathbf{h})\) se a covariância cruzada é simétrica.

  • Quando as variáveis secundárias estão disponíveis apenas nos mesmos locais que a primária (ou em grades finas), simplificações são possíveis.

  • A abordagem condicional de Cressie e Zammit-Mangion (2016) oferece uma alternativa flexível para construir modelos de covariância multivariados válidos e assimétricos. Cressie e Zammit-Mangion (2016) modela a distribuição conjunta condicionando \(Y_1\) a \(Y_2\), evitando a necessidade de modelar explicitamente a covariância cruzada:

\[Y_1(\mathbf{s}) = \mu_1(\mathbf{s}) + \beta(\mathbf{s})[Y_2(\mathbf{s}) - \mu_2(\mathbf{s})] + \delta(\mathbf{s})\] onde \(\beta(\mathbf{s})\) é um coeficiente espacialmente variante.

(a) Variograma 1
(b) Variograma 2
(c) Predição
(d) Variância de krigagem
Figura 3.18: Co-Krigagem

3.14 Avaliação da Performance Preditiva

Uma vez ajustado o modelo de variograma e realizada a krigagem, é fundamental verificar se as predições são precisas e se a incerteza (variância de krigagem) está bem calibrada. Para tal, recorre-se a métodos de reamostragem e estatísticas de consistência, sendo a validação cruzada (leave-one-out) a mais usada.

3.14.1 Validação Cruzada

A validação cruzada leave-one-out é o método padrão para verificar a consistência entre a incerteza predita pelo modelo (variância de krigagem) e o erro real de predição. A estatística para este diagnóstico é a Razão de Desvio Quadrático Médio (MSDR - Mean Squared Deviation Ratio), discutida em profundidade por McBratney e Webster (1986) e Lark (2000).

Seja \(Y(\mathbf{s}_i)\) o valor observado no local \(\mathbf{s}_i\). Retiramos este ponto do conjunto de dados e realizamos a krigagem usando os \(n-1\) vizinhos restantes para obter a estimativa \(\hat{Y}_{-i}(\mathbf{s}_i)\) e a variância de krigagem associada \(\sigma_E^2(\mathbf{s}_i)\).

Erro de predição

Definimos o erro de predição (resíduo) como: \[\varepsilon_i = Y(\mathbf{s}_i) - \hat{Y}_{-i}(\mathbf{s}_i)\]

Sob a hipótese nula de que o modelo de variograma \(\gamma(\mathbf{h}; \boldsymbol{\theta})\) e as premissas de estacionariedade estão corretos, o estimador de krigagem é não-viesado e a variância do erro é exata. Se assumirmos adicionalmente que o processo é Gaussiano:

\[\varepsilon_i \sim \mathcal{N}(0, \sigma_E^2(\mathbf{s}_i))\]

Para avaliar a validade da variância, padronizamos o erro dividindo-o pelo desvio padrão estimado (variância de krigagem). Definimos o resíduo padronizado \(\theta_i\):

\[\theta_i = \frac{Y(\mathbf{s}_i) - \hat{Y}_{-i}(\mathbf{s}_i)}{\sigma_k(\mathbf{s}_i)}\]

Dada a distribuição de \(\varepsilon_i\), a variável \(\theta_i\) deve seguir uma distribuição normal padrão, \(\theta_i \sim \mathcal{N}(0, 1)\). Consequentemente, o quadrado do resíduo padronizado segue uma distribuição Qui-quadrado com 1 grau de liberdade:

\[\theta_i^2 \sim \chi^2_{(1)}\]

A esperança de uma variável \(\chi^2_{(1)}\) é igual aos seus graus de liberdade. Portanto, o valor esperado teórico para o quadrado do erro padronizado é:

\[E[\theta_i^2] = \text{Var}(\theta_i) + (E[\theta_i])^2 = 1 + 0 = 1\]

A MSDR é definida como a média amostral dos quadrados dos resíduos padronizados sobre todos os pontos de validação \(n\):

\[\text{MSDR} = \frac{1}{n} \sum_{i=1}^n \theta_i^2 = \frac{1}{n} \sum_{i=1}^n \frac{[Y(\mathbf{s}_i) - \hat{Y}_{-i}(\mathbf{s}_i)]^2}{\sigma_E^2(\mathbf{s}_i)}\]

A análise do valor de MSDR permite diagnosticar a calibração da incerteza do modelo:

  1. Consistência (\(\text{MSDR} \approx 1\)):

A variância média dos erros reais (numerador) é aproximadamente igual à variância média predita pela krigagem (denominador). O modelo descreve corretamente a variabilidade espacial.

  1. Subestimação da Incerteza (\(\text{MSDR} > 1\)):

\[\frac{1}{n}\sum \varepsilon_i^2 > \frac{1}{n}\sum \sigma_E^2\]

O erro real é sistematicamente maior do que o modelo prevê. Isso ocorre frequentemente quando o variograma subestima o efeito pepita ou a variância total (patamar), ou quando há outliers não modelados.

  1. Superestimação da Incerteza (\(\text{MSDR} < 1\)):

\[\frac{1}{n}\sum \varepsilon_i^2 < \frac{1}{n}\sum \sigma_E^2\]

A variância de krigagem é maior do que o erro efetivo. O modelo assume uma variabilidade espacial ou um ruído (pepita) superior ao que realmente existe nos dados. O modelo é “pessimista” ou conservador.

Com base na fundamentação teórica de Journel & Huijbregts (1978), Cressie (1993), Goovaerts (1997) e Chilès & Delfiner (1999), apresento a secção detalhada sobre Anisotropia, mantendo o rigor matemático e a dedução das transformações lineares necessárias para a modelagem.

Código
pacman::p_load(stars, gstat, ggplot2, sf, patchwork, viridis, dplyr, tibble, gt)

data(meuse)
meuse_sf <- st_as_sf(meuse, coords = c("x", "y"), crs = 28992)

v_ord <- variogram(log(zinc) ~ 1, meuse_sf)
m_ord <- fit.variogram(v_ord, vgm(0.6, "Exp", 800, 0.05))

#Executar Validação Cruzada (Leave-One-Out)
# A função krige.cv faz o loop automaticamente.
cv_results <- krige.cv(log(zinc) ~ 1, 
                       locations = meuse_sf, 
                       model = m_ord, debug.level = 0); 

cv_results|>
  head()|>
  knitr::kable()
var1.pred var1.var observed residual zscore fold geometry
6.833605 0.1614145 6.929517 0.0959118 0.2387267 1 POINT (181072 333611)
6.786747 0.1604868 7.039660 0.2529135 0.6313240 2 POINT (181025 333558)
6.291128 0.1836067 6.461468 0.1703405 0.3975334 3 POINT (181165 333537)
6.051561 0.2405948 5.549076 -0.5024847 -1.0244238 4 POINT (181298 333484)
5.576407 0.1717014 5.594711 0.0183041 0.0441734 5 POINT (181307 333330)
5.455516 0.2381790 5.638355 0.1828387 0.3746419 6 POINT (181390 333260)
Código
#Estatísticas de Diagnóstico

# MSDR (Razão de Desvio Quadrático Médio)
msdr <- mean(cv_results$zscore^2)

# ME (Erro Médio) - Deve ser próximo de 0 (viés)
me <- mean(cv_results$residual)

# RMSE (Raiz do Erro Quadrático Médio)
rmse <- sqrt(mean(cv_results$residual^2))

resultados <- tibble(
  Indicador = c("Mean Error (Viés)", 
                "RMSE (Precisão)", 
                "MSDR (Calibração)"),
  Valor = round(c(me, rmse, msdr), 4)
)

resultados|>
  knitr::kable()
Indicador Valor
Mean Error (Viés) 0.0021
RMSE (Precisão) 0.3935
MSDR (Calibração) 0.8657
Código
# Interpretação automática simples
if(msdr > 1.1) {
  cat("MSDR > 1: Subestimação da incerteza (Variograma muito 'otimista' ou outliers).\n")
} else if(msdr < 0.9) {
  cat("MSDR < 1: Superestimação da incerteza (Variograma muito 'pessimista').\n")
} else {
  cat("MSDR ~ 1: Incerteza bem calibrada.\n")
}
MSDR < 1: Superestimação da incerteza (Variograma muito 'pessimista').
Código
p1 <- ggplot(cv_results, aes(x = observed, y = var1.pred)) +
  geom_point(alpha = 0.5) +
  geom_abline(slope = 1, intercept = 0, color = "red", linetype = "dashed") +
  labs(title = "Acurácia: Observado vs Predito",
       subtitle = paste("RMSE:", round(rmse, 3)),
       x = "Log(Zinc) Observado", y = "Log(Zinc) Predito") +
  theme_bw()

#Histograma dos Z-Scores (Deve parecer uma Normal(0,1))
p2 <- ggplot(cv_results, aes(x = zscore)) +
  geom_histogram(aes(y = ..density..), bins = 20, fill = "steelblue", color = "white", alpha = 0.7) +
  stat_function(fun = dnorm, args = list(mean = 0, sd = 1), color = "red", size = 1) +
  labs(title = "Calibração: Z-Scores",
       subtitle = paste("MSDR:", round(msdr, 3), "(Ideal = 1.0)"),
       x = "Resíduo Padronizado", y = "Densidade") +
  theme_bw()

p1 + p2

Com base na sua solicitação, elaborei esta seção detalhada sobre Krigagem Indicatriz. Mantive a notação rigorosa \(Y(\mathbf{s})\), integrei a evolução histórica e matemática com base nos documentos fornecidos (de 1983 a 2025) e diferenciei o método das abordagens lineares anteriores.

3.15 Krigagem Indicatriz (IK)

As técnicas de krigagem discutidas anteriormente (Simples, Ordinária, Universal) são classificadas como estimadores lineares. Elas são ótimas para estimar o valor esperado da variável \(Y(\mathbf{s}_0)\) sob a condição de que a distribuição dos dados seja razoavelmente simétrica (dados normais) e livre de outliers extremos. No entanto, em geociências e estudos ambientais, frequentemente lidamos com distribuições altamente assimétricas (ex: concentrações de ouro ou poluentes) onde a média não é uma boa medida de tendência central e a variância de krigagem não reflete a verdadeira incerteza local, pois é independente dos valores dos dados (propriedade da homocedasticidade) (André G. Journel 1983).

A Krigagem Indicatriz (IK), introduzida por André G. Journel (1983), representa uma mudança de paradigma: em vez de estimar o valor da variável \(Y(\mathbf{s}_0)\) diretamente, estimamos a Função de Distribuição Cumulativa Condicional (ccdf) local em \(\mathbf{s}_0\).

A importância fundamental da IK em relação à KO ou KS reside na sua natureza não-paramétrica. Ela não assume normalidade dos dados e é robusta a outliers, pois transforma os dados em binários (0 ou 1) baseados em limiares de corte (cut-offs). Um valor extremamente alto não explode a estimativa, pois é tratado apenas como acima do corte (Carvalho e Deutsch 2017).

Transformada Indicadora e a ccdf

Seja \(Y(\mathbf{s})\) uma variável regionalizada e \(y_k\) um valor de corte (threshold) escolhido. A transformada indicadora \(I(\mathbf{s}; y_k)\) é definida como uma variável binária:

\[ I(\mathbf{s}; z_k) = \begin{cases} 1, & \text{se } Y(\mathbf{s}) \le y_k \\ 0, & \text{se } Y(\mathbf{s}) > y_k \end{cases} \]

Para variáveis categóricas (como espécies biológicas ou litologia), a definição muda para uma igualdade estrita (\(= y_k\)), conforme descrito por Guimaraes et al. (2012).

A propriedade estatística que fundamenta a IK é que a esperança da variável indicadora é igual à probabilidade cumulativa:

\[E[I(\mathbf{s}; y_k)] = 1 \cdot P(Y(\mathbf{s}) \le y_k) + 0 \cdot P(Y(\mathbf{s}) > y_k) = P(Y(\mathbf{s}) \le y_k) = F(y_k)\]

Portanto, ao estimar o valor esperado do indicador num local não amostrado \(\mathbf{s}_0\), estamos estimando a probabilidade de que a variável real seja menor ou igual ao corte \(y_k\), condicionada aos dados vizinhos \((n)\). Esta é a ccdf local:

\[\hat{F}(u; y_k | (n)) = E^*[I(\mathbf{s}_0; y_k) | (n)] = \text{Prob}^* \{ Y(\mathbf{s}_0) \le y_k | (n) \}\]

Estimador e o Sistema de Krigagem Indicatriz

A estimativa da probabilidade para um corte \(y_k\) é uma combinação linear dos indicadores observados nos locais \(\mathbf{s}_i\):

\[\hat{I}(\mathbf{s}_0; y_k) = \sum_{i=1}^{n} \lambda_i(y_k) I(\mathbf{s}_i; y_k)\]

Note que os pesos \(\lambda_i(y_k)\) dependem do corte \(y_k\). Isso significa que a estrutura de continuidade espacial (variograma) pode mudar para diferentes teores. O ouro de alto teor pode ter uma continuidade espacial muito menor (alcance curto) do que o ouro de baixo teor (alcance longo). Esta flexibilidade é uma vantagem crucial sobre a Krigagem Ordinária, que assume um único variograma para todo o processo (Mohammadpour et al. 2019).

O sistema de equações para obter os pesos é idêntico ao da Krigagem Ordinária, mas aplicado aos dados transformados e ao Variograma Indicador \(\gamma_I(\mathbf{h}; z_k)\):

\[\gamma_I(\mathbf{h}; y_k) = \frac{1}{2} E \left[ \{ I(\mathbf{s} + \mathbf{h}; y_k) - I(\mathbf{s}; y_k) \}^2 \right]\]

O sistema \(\mathbf{A}_{IK} \mathbf{x}_{IK} = \mathbf{b}_{IK}\) para cada corte \(y_k\) é:

\[ \begin{cases} \sum_{j=1}^n \lambda_j(z_k) \gamma_I(\mathbf{s}_i - \mathbf{s}_j; z_k) + \nu(z_k) = \gamma_I(\mathbf{s}_i - \mathbf{s}_0; z_k), & i=1, \dots, n \\ \sum_{j=1}^n \lambda_j(z_k) = 1 \end{cases} \]

Myers (1994) classifica a IK como uma extensão não-linear que evita as premissas fortes de distribuição bivariada exigidas pela Krigagem Disjuntiva, embora exija a hipótese de estacionariedade forte para a inferência da ccdf.

Soft Kriging: Incorporando Incertezas

Uma generalização poderosa da IK é a capacidade de incorporar dados imprecisos ou qualitativos, conhecidos como Soft Data. Andre G. Journel (1986) formalizou o conceito de Soft Kriging.

Enquanto um dado exato em \(\mathbf{s}_i\) é codificado como um degrau abrupto na ccdf (0 ou 1), um dado suave (ex: o valor está entre \(a\) e \(b\)) pode ser codificado como uma probabilidade \(y(\mathbf{s}_i; y_k) \in [0, 1]\). O estimador se torna:

\[\hat{I}(\mathbf{s}_0; y_k) = \sum_{i \in \text{hard}} \lambda_i I(\mathbf{s}_i; y_k) + \sum_{j \in \text{soft}} \nu_j y(\mathbf{s}_j; y_k)\]

Ungaro et al. (2008) expandem este conceito utilizando Simple Indicator Kriging with Varying Local Means (SIK-VLM), onde a média local varia conforme mapas de solo auxiliares, permitindo distinguir anomalias naturais de contaminação antrópica.

Estatísticas E-type e Risco

A IK resulta em um conjunto de probabilidades discretas para \(K\) cortes: \(\hat{F}(y_1), \hat{F}(y_2), \dots, \hat{F}(y_K)\). Para obter uma estimativa de valor (teor) único para o local \(\mathbf{s}_0\), calculamos a esperança da ccdf, conhecida como estimativa E-type:

\[\hat{Y}_{E\text{-type}}(\mathbf{s}_0) \approx \sum_{k=0}^{K} \bar{y}_k \left[ \hat{F}(y_{k+1}) - \hat{F}(y_k) \right]\]

Onde \(\bar{y}_k\) é a média da classe entre os cortes \(y_k\) e \(y_{k+1}\). Carvalho e Deutsch (2017) destaca a importância de modelar corretamente as caudas da distribuição (abaixo do primeiro corte e acima do último), sugerindo ajustes hiperbólicos para evitar subestimativa de valores extremos.

Além da média, a IK permite quantificar o risco de decisão. Juang e Lee (1998) desenvolvem as equações para calcular a probabilidade de Falso Positivo (\(\alpha\), classificar como perigoso o que é seguro) e Falso Negativo (\(\beta\), classificar como seguro o que é perigoso), cruciais para remediação ambiental.

Desafios e Desenvolvimentos Recentes

  • Como as krigagens são independentes para cada corte, pode ocorrer que \(P(Y \le 10) < P(Y \le 5)\), o que é matematicamente impossível. Algoritmos de correção (médias ascendentes/descendentes) são aplicados a posteriori (Deutsch e Journel 1997).

  • Para reduzir o esforço computacional, Hill (1998) propõem a Median Indicator Kriging, assumindo que o variograma da mediana é representativo para todos os cortes. Embora eficiente, Mohammadpour et al. (2019) argumentam que para anomalias sutis, deve-se usar variogramas específicos definidos por modelos Multifractais (FMIK) para separar corretamente as populações geológicas.

  • O avanço mais recente, proposto por Ji et al. (2025), introduz a Ordered Indicator Kriging com parâmetros de campo. Este método adapta a anisotropia da krigagem localmente baseada na estrutura geológica (dobras, falhas) e na lógica deposicional (proximal-distal), superando a limitação de estacionaridade da IK em ambientes complexos.

Código
pacman::p_load(stars, gstat, ggplot2, sf, viridis, dplyr)

data(meuse)
data(meuse.grid)


#Preparação dos Dados
# Definir o corte (Threshold). Vamos usar o 3º quartil do Zinco como "perigo".
threshold <- quantile(meuse$zinc, 0.75) 
meuse$zinc_ind <- ifelse(meuse$zinc > threshold, 1, 0) # 1 se perigoso, 0 se seguro

meuse_sf <- st_as_sf(meuse, coords = c("x", "y"), crs = 28992)
grid_sf <- st_as_sf(meuse.grid, coords = c("x", "y"), crs = 28992)
grid_stars <- st_rasterize(grid_sf, dx = 40, dy = 40)


#Variograma Indicador

v_ind <- variogram(zinc_ind ~ 1, meuse_sf)
m_ind <- fit.variogram(v_ind, vgm(0.15, "Exp", 600, 0.05))

plot(v_ind, m_ind, main = "Variograma Indicador (Zinco > Q75)")


#Krigagem Indicatriz (Ordinária)

# O resultado (var1.pred) será a PROBABILIDADE de ser 1 (acima do corte)
ik <- krige(zinc_ind ~ 1, 
            locations = meuse_sf, 
            newdata = grid_stars, 
            model = m_ind, debug.level = 0)


ik$probabilidade <- pmin(pmax(ik$var1.pred, 0), 1)

ggplot() +
  geom_stars(data = ik, aes(fill = probabilidade)) +
  geom_sf(data = meuse_sf, aes(color = as.factor(zinc_ind)), size = 1) +
  scale_fill_viridis_c(option = "turbo", name = "Prob. > Corte", na.value = "transparent") +
  scale_color_manual(values = c("white", "black"), name = "Dados Reais", labels = c("<= Corte", "> Corte"))+
  labs(title = "",
       subtitle = "Probabilidade do teor de Zinco exceder o limiar de 75%",
       x = NULL, y = NULL) +
  theme_void() +
  theme(plot.title = element_text(hjust = 0.5), legend.position = "right")
Figura 3.19: Krigagem Indicatriz
Figura 3.20: Krigagem Indicatriz

3.16 Desafios Computacionais e a Abordagem SPDE

Imagine que você é um climatologista modelando a temperatura da superfície do mar no Atlântico Norte usando dados de satélite. Você tem \(n = 100.000\) pontos de observação \(\mathbf{s}_1, \dots, \mathbf{s}_n\) e deseja prever a temperatura em locais não medidos e entender a variabilidade espacial.

Na geoestatística, assumimos que o vetor de temperaturas observadas \(\mathbf{y}\) é uma realização de um Campo Aleatório Gaussiano (GRF) \(x(\mathbf{s})\). A dependência espacial é regida por uma Matriz de Covariância densa \(\mathbf{\Sigma}\), onde o elemento \(\Sigma_{ij}\) descreve a correlação entre \(\mathbf{s}_i\) e \(\mathbf{s}_j\).

Um Campo Aleatório Gaussiano (GRF - Gaussian Random Field), denotado por \(\{x(\mathbf{s}) : \mathbf{s} \in D^G \subset \mathbb{R}^d\}\), é um processo estocástico onde, para qualquer conjunto finito de locais \(\{\mathbf{s}_1, \dots, \mathbf{s}_n\}\), o vetor \(\mathbf{x} = (x(\mathbf{s}_1), \dots, x(\mathbf{s}_n))^\top\) segue uma distribuição Normal Multivariada:

\[\mathbf{x} \sim \mathcal{N}(\boldsymbol{\mu}, \boldsymbol{\Sigma})\]

Onde \(\boldsymbol{\mu}\) é o vetor de médias e \(\boldsymbol{\Sigma}\) é a matriz de covariância, cujos elementos são dados por uma função de covariância definida positiva \(C(\cdot)\):

\[\Sigma_{ij} = \text{Cov}(x(\mathbf{s}_i), x(\mathbf{s}_j)) = C(\|\mathbf{s}_i - \mathbf{s}_j\|)\]

A função \(C\) é função de covariância da Matérn, que controla a variância e a suavidade do campo. Note que ao longo do texto descrevemos funções de semivariograma, mas poderiamos ter o feito para funções de covariância.

Para estimar parâmetros (como o alcance da correlação) via Máxima Verossimilhança, precisamos calcular a log-verossimilhança:

\[\log L(\theta) \propto -\frac{1}{2} \log |\mathbf{\Sigma}| - \frac{1}{2} \mathbf{y}^\top \mathbf{\Sigma}^{-1} \mathbf{y}\]

Isso exige calcular o determinante \(|\mathbf{\Sigma}|\) e a inversa \(\mathbf{\Sigma}^{-1}\). O método padrão é a Fatoração de Cholesky (\(\mathbf{\Sigma} = \mathbf{L}\mathbf{L}^\top\)), que decompõe a matriz \(\boldsymbol{\Sigma}\) em um produto \(\boldsymbol{\Sigma} = \mathbf{L}\mathbf{L}^\top\), onde \(\mathbf{L}\) é uma matriz triangular inferior única com elementos diagonais estritamente positivos.

A matriz \(\mathbf{\Sigma}\) é densa. Em processos espaciais, tudo se correlaciona com tudo (Primeira Lei da Geografia), mesmo que a correlação seja ínfima a longas distâncias.

O problema é que a matriz \(\boldsymbol{\Sigma}\) é densa (quase todos os elementos são não-nulos, pois a correlação decai com a distância mas nunca é exatamente zero). Portanto, \(\Sigma_{ij} \neq 0\) para quase todos os pares. Como consequência, o custo computacional da fatoração de Cholesky para uma matriz densa seja de ordem \(\mathcal{O}(n^3)\) e o custo de armazenamento (memória) de ordem \(\mathcal{O}(n^2)\). Para \(n=100.000\), isso exige da ordem de \(10^{15}\) operações e cerca de 80 GB de RAM apenas para armazenar a matriz em precisão dupla. Isso torna a geoestatística clássica computacionalmente proibitiva para grandes conjuntos de dados (Abdulah et al. 2023).

A solução reside na mudança de paradigma: modelar a Precisão (dependência local) em vez da Covariância (dependência global).

  • Covariância (\(\mathbf{\Sigma}\)) descreve a correlação marginal. Se o ponto A afeta B, e B afeta C, então A está correlacionado com C. O grafo de dependência é completo (denso).

  • Precisão (\(\mathbf{Q} = \mathbf{\Sigma}^{-1}\)) descreve a correlação condicional. Se fixarmos o valor de B, A e C tornam-se independentes (propriedade de Markov). Em um Campo Aleatório de Markov Gaussiano (GMRF), um ponto só interage com seus vizinhos imediatos. A matriz é esparsa (cheia de zeros).

Para construir uma matriz esparsa \(\mathbf{Q}\) que corresponda a um modelo de covariância contínuo e válido, recorre-se a abordagem Stochastic Partial Differential Equation ( SPDE ou Equação Diferencial Parcial Estocástica).

3.16.1 Equação Diferencial Parcial Estocástica (SPDE)

Uma SPDE é uma equação diferencial onde um ou mais termos são processos estocásticos. No contexto da geoestatística, usamos uma SPDE linear para descrever como o campo \(x(\mathbf{s})\) é gerado a partir de um ruído branco.

Whittle (1954) provou um campo aleatório Gaussiano estacionário \(x(\mathbf{s})\) em \(\mathbb{R}^d\) com função de covariância Matérn é a solução estacionária da seguinte Equação Diferencial Parcial Estocástica (SPDE) linear fracionária impulsionada por um ruído branco Gaussiano:

\[(\kappa^2 - \Delta)^{\alpha/2} (\tau x(\mathbf{s})) = \mathcal{W}(\mathbf{s}), \quad \mathbf{s} \in \mathbb{R}^d \tag{3.14}\]

Onde:

  • \(\Delta\) (Laplaciano) é operador diferencial definido como \(\Delta = \sum_{i=1}^d \frac{\partial^2}{\partial s_i^2}\). Mede a concavidade local.

  • \(\mathcal{W}(\mathbf{s})\) (Ruído Branco Espacial) é um processo estocástico Gaussiano com média zero e densidade espectral constante \(S_{\mathcal{W}}(\boldsymbol{\omega}) = 1\) em todas as frequências. Para quaisquer funções de teste \(f, g \in L^2(\mathbb{R}^d)\), a covariância é dada pelo produto interno: \(\text{Cov}(\langle f, \mathcal{W} \rangle, \langle g, \mathcal{W} \rangle) = \int f(\mathbf{s})g(\mathbf{s}) d\mathbf{s}\).

  • \(\kappa\) é parâmetro de escala espacial (\(>0\)). Controla o decaimento da correlação. Relacionado ao Alcance (\(\rho\)) por \(\rho = \sqrt{8\nu}/\kappa\).

  • \(\alpha\) é parâmetro de suavidade que determina a ordem da equação diferencial. Relacionado ao parâmetro \(\nu\) da Matérn por \(\alpha = \nu + d/2\)

\(\tau\) é parâmetro de escala da variância. Controla a magnitude das flutuações. Relacionado à variância marginal \(\sigma^2\).

Para provar que a solução da equação acima realmente gera uma covariância Matérn, utilizamos a análise espectral no domínio da frequência (Lindgren, Rue, e Lindstr"om 2011). Que fundamenta-se na transformada de Fourier \(\mathcal{F}\), que consiste em converter uma função do domínio espacial \(\mathbf{s}\) para o domínio da frequência \(\boldsymbol{\omega}\). Uma propriedade crucial é como ela afeta o operador Laplaciano:

\[\mathcal{F}(\Delta f(\mathbf{s})) = -\|\boldsymbol{\omega}\|^2 \hat{f}(\boldsymbol{\omega})\]

Aplicando a transformada de Fourier em ambos os lados da SPDE (Eq. 3.14), temos:

\[ \begin{aligned} \mathcal{F}\left[ (\kappa^2 - \Delta)^{\alpha/2} (\tau x(\mathbf{s})) \right] &= \mathcal{F}[\mathcal{W}(\mathbf{s})] \\ \tau (\kappa^2 - \mathcal{F}[\Delta])^{\alpha/2} \hat{x}(\boldsymbol{\omega}) &= \hat{\mathcal{W}}(\boldsymbol{\omega}) \\ \tau (\kappa^2 + \|\boldsymbol{\omega}\|^2)^{\alpha/2} \hat{x}(\boldsymbol{\omega}) &= \hat{\mathcal{W}}(\boldsymbol{\omega}) \end{aligned} \]

Isolamos \(\hat{x}(\boldsymbol{\omega})\) para encontrar a função de transferência do sistema:

\[\hat{x}(\boldsymbol{\omega}) = \frac{1}{\tau (\kappa^2 + \|\boldsymbol{\omega}\|^2)^{\alpha/2}} \hat{\mathcal{W}}(\boldsymbol{\omega})\]

A densidade espectral de potência \(S_x(\boldsymbol{\omega})\) do campo \(x\) é dada pelo quadrado do módulo da função de transferência multiplicado pela densidade espectral do ruído de entrada (que é 1):

\[\begin{aligned} S_x(\boldsymbol{\omega}) &= \left| \frac{1}{\tau (\kappa^2 + \|\boldsymbol{\omega}\|^2)^{\alpha/2}} \right|^2 \cdot S_{\mathcal{W}}(\boldsymbol{\omega}) \\ S_x(\boldsymbol{\omega}) &= \frac{1}{\tau^2 (\kappa^2 + \|\boldsymbol{\omega}\|^2)^{\alpha}} \end{aligned}\]

Este resultado, \(S_x(\boldsymbol{\omega}) \propto (\kappa^2 + \|\boldsymbol{\omega}\|^2)^{-\alpha}\), é exatamente a definição da densidade espectral de um campo isotrópico com covariância da classe Matérn em \(\mathbb{R}^d\), com parâmetro de suavidade \(\nu = \alpha - d/2\) Lindgren, Bolin, e Rue (2022).

Discretização via Método de Elementos Finitos

A SPDE é uma equação definida no contínuo. Para implementá-la computacionalmente e obter a almejada esparsidade, precisamos discretizar o domínio espacial \(D^G\). Lindgren, Rue, e Lindstr"om (2011) propõem o uso do Método de Elementos Finitos (FEM), uma técnica numérica para encontrar soluções aproximadas de equações diferenciais parciais. O método consiste em subdividir um domínio contínuo em um conjunto de subdomínios discretos (elementos, formando uma malha) e aproximar a solução da equação como uma combinação linear de funções de base simples definidas nesses elementos (Cressie, Sainsbury-Dale, e Zammit-Mangion 2022).

A Malha e as Funções de Base

Subdividimos o domínio \(D^G\) em uma malha (mesh) de triângulos não sobrepostos. Seja \(V\) o número de vértices (nós) da malha. Definimos uma aproximação do campo contínuo \(x(\mathbf{s})\) como:

\[x(\mathbf{s}) \approx \sum_{k=1}^V w_k \psi_k(\mathbf{s})\]

Onde:

  • \(w_k\) são pesos aleatórios (Gaussianos) associados a cada vértice \(k\). O objetivo da inferência passa a ser encontrar a distribuição conjunta do vetor de pesos \(\mathbf{w} = (w_1, \dots, w_V)^\top\).

  • \(\psi_k(\mathbf{s})\) são funções de base determinísticas, lineares por partes. A função \(\psi_k\) vale 1 no vértice \(k\), decai linearmente para 0 nos vértices vizinhos e é identicamente nula em todo o restante do domínio. Esta propriedade de suporte compacto é crucial para a esparsidade.

Não podemos substituir a aproximação diretamente na SPDE \((\kappa^2 - \Delta)x = \mathcal{W}\) (assumindo \(\alpha=2\) para simplificar, o que equivale a \(\nu=1\) em 2D), pois a segunda derivada \(\Delta\) de funções lineares por partes resulta em funções indefinidas (Deltas de Dirac) nas arestas dos triângulos.

Para contornar isso, usamos a formulação fraca (ou variacional): multiplicamos a SPDE por uma função de teste (escolhemos a própria base \(\psi_i\)) e integramos sobre o domínio \(\Omega\):

\[\int_{\Omega} \psi_i(\mathbf{s}) (\kappa^2 - \Delta) x(\mathbf{s}) \, d\mathbf{s} = \frac{1}{\tau} \int_{\Omega} \psi_i(\mathbf{s}) \mathcal{W}(\mathbf{s}) \, d\mathbf{s}, \quad \text{para } i=1,\dots,V\]

Para resolver o termo com o Laplaciano (\(\int \psi_i \Delta x\)), aplicamos a Primeira Identidade de Green, que é a generalização da integração por partes para dimensões superiores. Assumindo condições de fronteira de Neumann (derivada normal nula na borda do domínio), a identidade transfere uma derivada do campo \(x\) para a função de teste \(\psi_i\):

\[-\int_{\Omega} \psi_i \Delta x \, d\mathbf{s} = \int_{\Omega} \nabla \psi_i \cdot \nabla x \, d\mathbf{s}\]

Substituindo a expansão \(x(\mathbf{s}) = \sum_{j=1}^V w_j \psi_j(\mathbf{s})\) na equação integral:

\[ \begin{aligned} \int_{\Omega} \psi_i \left[ \kappa^2 \sum_j w_j \psi_j \right] d\mathbf{s} + \int_{\Omega} \nabla \psi_i \cdot \left[ \sum_j w_j \nabla \psi_j \right] d\mathbf{s} &= \frac{1}{\tau} \int_{\Omega} \psi_i \mathcal{W} d\mathbf{s} \\ \sum_{j=1}^V w_j \underbrace{\int_{\Omega} \kappa^2 \psi_i \psi_j d\mathbf{s}}_{\text{Termo dependente de C}} + \sum_{j=1}^V w_j \underbrace{\int_{\Omega} \nabla \psi_i \cdot \nabla \psi_j d\mathbf{s}}_{\text{Termo dependente de G}} &= \frac{1}{\tau} \int_{\Omega} \psi_i \mathcal{W} d\mathbf{s} \end{aligned} \]

Isso nos permite definir as matrizes esparsas fundamentais que dependem apenas da geometria da malha:

  • Matriz de Massa (\(\mathbf{C}\)): \(C_{ij} = \int_{\Omega} \psi_i(\mathbf{s}) \psi_j(\mathbf{s}) \, d\mathbf{s} = \langle \psi_i, \psi_j \rangle\).

  • Matriz de Rigidez (\(\mathbf{G}\)): \(G_{ij} = \int_{\Omega} \nabla \psi_i(\mathbf{s}) \cdot \nabla \psi_j(\mathbf{s}) \, d\mathbf{s} = \langle \nabla \psi_i, \nabla \psi_j \rangle\).

A equação matricial resultante para o vetor de pesos \(\mathbf{w}\) é:

\[(\kappa^2 \mathbf{C} + \mathbf{G}) \mathbf{w} = \tilde{\mathbf{W}}\]

onde \(\tilde{\mathbf{W}}\) é um vetor Gaussiano com média zero. Pela propriedade do ruído branco espacial, a matriz de covariância de \(\tilde{\mathbf{W}}\) é igual à matriz de massa \(\mathbf{C}\) (pois \(\text{Cov}(\int f \mathcal{W}, \int g \mathcal{W}) = \int fg\)).

Nosso objetivo final é encontrar a matriz de precisão \(\mathbf{Q}\) dos pesos \(\mathbf{w}\). Da equação linear derivada acima, definimos a matriz do sistema como \(\mathbf{K} = \kappa^2 \mathbf{C} + \mathbf{G}\). Temos então: \(\mathbf{K}\mathbf{w} = \tilde{\mathbf{W}}\)

A matriz de covariância de \(\mathbf{w}\), denotada por \(\boldsymbol{\Sigma}_w\), é dada por:

\[ \begin{aligned} \boldsymbol{\Sigma}_w &= \text{Var}(\mathbf{w}) \\ &= \text{Var}(\mathbf{K}^{-1}\tilde{\mathbf{W}}) \\ &= \mathbf{K}^{-1} \text{Var}(\tilde{\mathbf{W}}) \mathbf{K}^{-T} \quad \text{(Propriedade da variância linear)} \\ &= \mathbf{K}^{-1} \mathbf{C} \mathbf{K}^{-T} \quad \text{(Pois Var}(\tilde{\mathbf{W}}) = \mathbf{C}) \end{aligned} \]

A matriz de precisão \(\mathbf{Q}\) é, por definição, a inversa da matriz de covariância:

\[ \begin{aligned} \mathbf{Q} &= \boldsymbol{\Sigma}_w^{-1} \\ &= (\mathbf{K}^{-1} \mathbf{C} \mathbf{K}^{-T})^{-1} \\ &= \mathbf{K}^T \mathbf{C}^{-1} \mathbf{K} \end{aligned} \]

As matrizes \(\mathbf{K}\) e \(\mathbf{C}\) são esparsas, pois as funções de base \(\psi_i\) e \(\psi_j\) só se sobrepoem se os vértices \(i\) e \(j\) forem vizinhos na malha. Se não forem vizinhos, as integrais são zero. No entanto, a inversa de uma matriz esparsa (\(\mathbf{C}^{-1}\)) é, em geral, densa. Se usássemos \(\mathbf{C}^{-1}\) na fórmula acima, \(\mathbf{Q}\) se tornaria densa, destruindo todo o benefício computacional da abordagem.

Para resolver isso, Lindgren, Rue, e Lindstr"om (2011) utilizam a técnica de Mass Lumping (comum em métodos numéricos): substituímos a matriz de massa consistente \(\mathbf{C}\) por uma matriz diagonal \(\tilde{\mathbf{C}}\), onde os elementos diagonais são a soma das linhas de \(\mathbf{C}\):

\[\tilde{C}_{ii} = \sum_j C_{ij} = \int_{\Omega} \psi_i(\mathbf{s}) d\mathbf{s}\]

Como a inversa de uma matriz diagonal é trivial e também diagonal (portanto, esparsa), podemos calcular a precisão final preservando a esparsidade. Substituindo \(\mathbf{K} = \kappa^2 \mathbf{C} + \mathbf{G}\) e usando a aproximação diagonal \(\tilde{\mathbf{C}}\), obtemos a matriz de precisão explícita para \(\alpha=2\):

\[\mathbf{Q}_{\text{SPDE}} = \tau^2 (\kappa^2 \tilde{\mathbf{C}} + \mathbf{G})^T \tilde{\mathbf{C}}^{-1} (\kappa^2 \tilde{\mathbf{C}} + \mathbf{G})\]

A matriz \(\mathbf{Q}_{\text{SPDE}}\) é construída apenas por somas e multiplicações de matrizes esparsas e diagonais. Portanto, \(\mathbf{Q}_{\text{SPDE}}\) é esparsa. Esta esparsidade permite o uso de algoritmos eficientes de fatoração de Cholesky esparsa, reduzindo a complexidade computacional de \(\mathcal{O}(n^3)\) para aproximadamente \(\mathcal{O}(n^{3/2})\) em problemas espaciais 2D. Isso viabiliza a análise bayesiana (via INLA) (Bakka et al. 2018; Lindgren e Rue 2015) ou a estimação de máxima verossimilhança (via ExaGeoStatR) para grandes conjuntos de dados geoestatísticos (Big Data) que eram anteriormente intratáveis (Abdulah et al. 2023).

Código
pacman::p_load(sf, ggplot2)

set.seed(123)
fronteira <- st_polygon(list(rbind(c(0,0), c(10,0), c(10,10), c(0,10), c(0,0))))
pontos <- st_sample(fronteira, size = 30)

borda_externa <- st_buffer(st_sfc(fronteira), dist = 2) 
pontos_borda <- st_sample(st_cast(borda_externa, "LINESTRING"), size = 20)
todos_pontos <- c(pontos, pontos_borda)

malha <- st_triangulate(st_combine(todos_pontos)) |> 
  st_collection_extract("POLYGON") |> 
  st_sf()

ggplot() +
  geom_sf(data = malha, fill = NA, color = "grey60", size = 0.3) +
  geom_sf(data = fronteira, fill = NA, color = "blue", size = 1) +
  geom_sf(data = pontos, color = "red", size = 2) +
  theme_void() +
  labs(title = "",
       subtitle = "(1) Triângulos cinza sao elementos finitos; (2) pontos vermelhos \nsão dados observados; (3) linha azul é o domínio de estudo") +
  theme(plot.title = element_text(hjust = 0.5),
        plot.subtitle = element_text(hjust = 0.5, color = "grey40"))
Figura 3.21: Conceito de Malha (Mesh) para SPDE. A precisão é maior onde há dados e menor nas bordas.
ImportanteAprofundamento Teórico e Prático

Além dos métodos abordados aqui, existem diversas variantes de Krigagem desenvolvidas para lidar com características específicas dos dados. Entre elas destacam-se: a Krigagem Lognormal (aplicada aos logaritmos dos dados); a Krigagem Multi-Gaussiana (aplicada após a transformação normal score), que é uma generalização da lognormal; a Krigagem de Postos (Rank Kriging, baseada na transformação uniforme); Krigagem Disjuntiva, entre outras. Para maior detalhes e aplicações, recomenda-se a leitura do capítulo 4 de Deutsch e Journel (1997).

Muitas vezes, a aplicação correta de transformações nos dados é suficiente para resolver problemas de estacionaridade ou não-normalidade. Aos interessados neste tópico, recomenda-se a leitura do capítulo 3 de Yamamoto e Landim (2013).

Por fim, para uma visão histórica completa da geoestatística e um guia prático de ferramentas computacionais, sugere-se o capítulo 3 de Scalon (2024). A obra abrange o uso do R/RStudio, análise exploratória, outros tipos de semivariogramas, validação de modelos e inclui um tutorial detalhado sobre o pacote geoR.

3.17 Algumas aplicações da Geoestatística por área

3.17.1 Geociências e Engenharia de Recursos

  • Mineração e Avaliação de Reservas

    A metodologia é aplicada para a estimativa de recursos e reservas recuperáveis. A Krigagem indicadora, permite modelar a distribuição local de incerteza, calculando a probabilidade de um bloco exceder um teor de corte econômico. Isso fundamenta o planejamento de lavra e a análise de seletividade.

    Referência: JOURNEL, A. G. Nonparametric estimation of spatial distributions. Mathematical Geology, v. 15, n. 3, p. 445–468, 1983.

  • Engenharia de Reservatórios (Petróleo e Gás)

    A caracterização de reservatórios exige a reprodução de heterogeneidades complexas (como canais fluviais meandrantes) que impactam o fluxo de fluidos. A indústria utiliza a Estatística de Múltiplos Pontos (MPS), que substitui o variograma por “imagens de treinamento” para simular estruturas curvilíneas e conectividade de fácies, essenciais para a simulação de fluxo.

    Referência: STREBELLE, S. Conditional simulation of complex geological structures using multiple-point statistics. Mathematical Geology, v. 34, n. 1, p. 1–21, 2002.

3.17.2 2. Ciências Agrárias e Ambientais

O foco deste domínio é a otimização de recursos (insumos) e o monitoramento de variáveis contínuas em superfície.

  • Agricultura de Precisão e Ciência do Solo

    A geoestatística quantifica a dependência espacial de atributos físico-químicos do solo para definir zonas de manejo. A análise da razão nugget/sill no variograma classifica a estabilidade da estrutura espacial, orientando a interpolação para aplicação de insumos à taxa variável (VRT), o que maximiza a eficiência agronômica e reduz o impacto ambiental.

    Referência: CAMBARDELLA, C. A. et al. Field-scale variability of soil properties in central Iowa soils. Geoderma, v. 60, n. 1-4, p. 150–170, 1994.

  • Climatologia e Hidrologia

    Em redes de monitoramento esparsas, técnicas multivariadas como a Krigagem com Deriva Externa (KED) são empregadas para interpolar precipitação e temperatura. O método incorpora modelos digitais de elevação (DEM) como covariáveis exaustivas, corrigindo tendências orográficas e aumentando significativamente a precisão das estimativas hidrológicas.

    Referência: GOOVAERTS, P. Geostatistical approaches for incorporating elevation into the spatial interpolation of rainfall. Journal of Hydrology, v. 228, n. 1-2, p. 113–129, 2000.

3.17.3 3. Saúde Pública e Ciências Sociais

A aplicação centra-se na detecção de clusters e no mapeamento de risco em populações.

  • Epidemiologia

    A Geoestatística é usada para o mapeamento de doenças tropicais (ex: Malária). Esta abordagem acopla processos Gaussianos a Modelos Lineares Generalizados Mistos (GLMM), permitindo inferir superfícies de probabilidade de infecção em locais não amostrados, servindo de base para políticas da Organização Mundial da Saúde (OMS).

    Referência 1: DIGGLE, P. J.; TAWN, J. A.; MOYCEED, R. A. Model-based geostatistics. Journal of the Royal Statistical Society: Series C (Applied Statistics), v. 47, n. 3, p. 299–350, 1998.

    Referência 2: Artigos da Professora Paula Moraga e referências neles existentes

3.17.4 4. Energias Renováveis

  • Previsão de Potencial Eólico e Solar

    A viabilidade de parques energéticos depende da mitigação da intermitência climática. Modelos geoestatísticos são utilizados para prever a disponibilidade de irradiância solar e velocidade do vento, integrando dados de satélite e estações terrestres para garantir a estabilidade da rede elétrica.

3.18 Pacote gstat

O pacote gstat (Pebesma 2004; Gr"aler, Pebesma, e Heuvelink 2016) é de autoria do professor Edzer Pebesma, junto com o pacote geoR (Paulo Justiniano Ribeiro Jr e Diggle 2025; Paulo J. Ribeiro Jr e Diggle 2006) da autoria dos professores Paulo Justiniano Ribeiro Jr e Peter J. Diggle se estabeleceram como a pacotes de referência no ambiente R para a modelagem geoestatística. Aqui é descrito apenas o pacote gstat. Aos interressados na descrição completa do pacote geoR sugere-se o capítulo 3 de Scalon (2024).

Embora suas raízes estejam no antigo pacote sp, as versões contemporâneas do gstat integram-se nativamente com os pacotes sf (Simple Features) e stars (Spatiotemporal Arrays), permitindo um fluxo de trabalho moderno e computacionalmente eficiente.

Utilizaremos o conjunto de dados meuse (concentração de metais pesados na planície de inundação do rio Meuse, Holanda) para demonstração.

Preparação do Ambiente e Dados

Para a execução de rotinas geoestatísticas, dois componentes geométricos são imprescindíveis:

  1. Dados Observados (Suporte Pontual): As amostras coletadas em campo.

  2. Malha de Predição (Suporte de Área/Grade): O domínio espacial discretizado onde as estimativas serão realizadas.

Código
if (!require("pacman")) install.packages("pacman")

pacman::p_load(gstat, sf, stars, ggplot2, viridis, dplyr,gt, gridExtra)


#Carregamento e conversão dos dados amostrais
data(meuse)
# O CRS 28992 refere-se à projeção holandesa Amersfoort / RD New, vc nos seus dados usaraa crs=4326
meuse_sf <- st_as_sf(meuse, coords = c("x", "y"), crs = 28992)
glimpse(meuse_sf)
Rows: 155
Columns: 13
$ cadmium  <dbl> 11.7, 8.6, 6.5, 2.6, 2.8, 3.0, 3.2, 2.8, 2.4, 1.6, 1.4, 1.8, …
$ copper   <dbl> 85, 81, 68, 81, 48, 61, 31, 29, 37, 24, 25, 25, 93, 31, 27, 8…
$ lead     <dbl> 299, 277, 199, 116, 117, 137, 132, 150, 133, 80, 86, 97, 285,…
$ zinc     <dbl> 1022, 1141, 640, 257, 269, 281, 346, 406, 347, 183, 189, 251,…
$ elev     <dbl> 7.909, 6.983, 7.800, 7.655, 7.480, 7.791, 8.217, 8.490, 8.668…
$ dist     <dbl> 0.00135803, 0.01222430, 0.10302900, 0.19009400, 0.27709000, 0…
$ om       <dbl> 13.6, 14.0, 13.0, 8.0, 8.7, 7.8, 9.2, 9.5, 10.6, 6.3, 6.4, 9.…
$ ffreq    <fct> 1, 1, 1, 1, 1, 1, 1, 1, 1, 1, 1, 1, 1, 1, 1, 1, 1, 1, 1, 1, 1…
$ soil     <fct> 1, 1, 1, 2, 2, 2, 2, 1, 1, 2, 2, 1, 1, 1, 1, 1, 1, 1, 1, 1, 1…
$ lime     <fct> 1, 1, 1, 0, 0, 0, 0, 0, 0, 0, 0, 0, 1, 0, 0, 1, 1, 1, 1, 1, 1…
$ landuse  <fct> Ah, Ah, Ah, Ga, Ah, Ga, Ah, Ab, Ab, W, Fh, Ag, W, Ah, Ah, W, …
$ dist.m   <dbl> 50, 30, 150, 270, 380, 470, 240, 120, 240, 420, 400, 300, 20,…
$ geometry <POINT [m]> POINT (181072 333611), POINT (181025 333558), POINT (18…

Criação da Malha de Predição (Grid)

A krigagem precisa de locais para onde serão feitas as predições. Para tal criaremos uma grade regular (raster) baseada nos limites da área.

Código
# O pacote traz um polígono 'meuse.area', vamos convertê-lo para sf

data(meuse.area)

limite_sf <- st_polygon(list(as.matrix(meuse.area))) |> 
  st_sfc(crs = 28992) |> 
  st_sf() #provavelmente vc terá um arquivo shapfile, use arquivo .shp


#Gerar a Grade Regular (Rasterização Vetorial)
# st_make_grid cria a geometria. 'cellsize' define a resolução (ex: 40x40 metros)

grid_vetorial <- st_make_grid(limite_sf, cellsize = 40, what = "centers") |>
  st_as_sf() |>
  st_filter(limite_sf) # Recorta a grade para ficar apenas dentro do polígono


#Conversão para STARS (Mais eficiente para o gstat)

grid_stars <- st_as_stars(st_bbox(limite_sf), dx = 40, dy = 40)
grid_stars <- st_crop(grid_stars, limite_sf) # Mascara o que está fora do limite


ggplot() +
  geom_sf(data = grid_vetorial, color="white") + # vc pode trocar 'grid_vetorial' por 'grid_stars'
  geom_sf(data = meuse_sf, color = "red", size = 0.5) +# e aqui trocar 'geom_sf' por geom_stars(data=grid_stars)
  geom_sf(data=limite_sf, color="black", fill=NA)+
  labs(title = "Domínio de Predição (Grade) e Amostras (Vermelho)") +
  theme_void()

Análise exploratória espacial

Antes de modelar, é necessário verificar a existência de dependência espacial.

hscat: Gráficos de Dispersão Defasados

A função hscat (h-scatterplots) confronta o valor de \(Z(s)\) com \(Z(s+h)\). Se houver estrutura espacial, espera-se que, para distâncias (\(h\)) pequenas, os pontos se alinhem à diagonal (alta correlação). Conforme \(h\) aumenta, a nuvem deve se dispersar.

  • formula: Define a variável e/ou variável resposta (ex: log(zinc) ~ 1) (recomenda-se transformação logarítmica para dados assimétricos de concentração).

  • data: O objeto espacial contendo as observações.

  • breaks: Vetor numérico definindo os limites dos intervalos de distância (lags).

Código
hscat(log(zinc) ~ 1, data=meuse_sf, breaks = c(0, 100, 200, 400, 800))
Figura 3.22: Dispersão espacial do log(Zinco) em diferentes lags

Modelagem da Covariância

A etapa central da geoestatística é a determinação da função de semivariância \(\gamma(h)\), que quantifica a dissimilaridade espacial.

  • O Variograma Experimental: variogram

A função variogram calcula a semivariância média para classes de distância discretas a partir dos dados observados.

  1. Sintaxe: variogram(object, locations, ...)

  2. Argumentos:

  • formula: Para Krigagem Ordinária, utiliza-se z ~ 1 (média constante). Para Krigagem Universal, define-se a tendência, ex:z ~ x + y, para as demais krigagens consulte a seção Seção 3.13.

  • cutoff: A distância máxima de investigação. Por convenção, limita-se a 1/3 da diagonal da área de estudo para garantir representatividade amostral nos lags.

  • width: A largura do intervalo de classe (tamanho do lag).

  • cloud: Se TRUE, retorna a nuvem variográfica (semivariância de todos os pares individuais), útil para detecção de outliers.

  • map: Se TRUE, gera um mapa variográfico para inspeção de anisotropia.

  • alpha: Direção em graus (ex: c(0, 45, 90, 135)) para investigar anisotropia.

Código
# Variograma Omnidirecional (Isotrópico)
v_exp <- variogram(log(zinc) ~ 1, meuse_sf, cutoff = 1200, width = 100)

plot(v_exp, main = "Semivariograma Experimental", 
     xlab = "Distância (m)", ylab = "Semivariância")

Definição do Modelo Teórico: vgm

O variograma experimental fornece pontos discretos. A krigagem exige uma função contínua e positiva definida. A função vgm estrutura este modelo.

  • psill: Patamar parcial (variância estrutural).

  • model: Família da curva.

    • “Sph” (Esférico): Crescimento linear na origem, atinge patamar definido.

    • “Exp” (Exponencial): Crescimento abrupto, atinge patamar assintoticamente.

    • “Gau” (Gaussiano): Suave na origem (parabólico), indica alta continuidade.

  • range: Alcance.

  • nugget: Efeito pepita (erro na origem).

Para visualizar as famílias disponíveis, utiliza-se show.vgms().

Código
# Definição inicial baseada na inspeção visual do gráfico anterior

modelo_inicial <- vgm(psill = 0.6, model = "Sph", range = 800, nugget = 0.05) 

#range 800 porque parece se estabilizar nele
# no mesmo lugar que se estabiliza range 800, temos uma patamar (psill) de ~ 0.6 a 0.7
#começa meio como linha reta obliquo, então aparenta ser esférico (Sph)
# se olhar para onde se interceta o eixo y parece ser ~0.05 esse é efeito pepita (nugget)

:: {.callout-important title=“Correção da Anisotropia Geométrica”}

Para corrigir a anisotropia geométrica no gstat, utilizamos o argumento anis dentro da função de modelagem do variograma:

vgm(psill = NA, model, range = NA, nugget, add.to, anis, kappa = 0.5, ..., covtable, Err = 0)

A correção é feita seguindo estes passos:

  1. Construímos variogramas para diferentes direções (geralmente \(0^\circ\), \(45^\circ\), \(90^\circ\) e \(135^\circ\)).

  2. Eixo Maior (Ângulo): Identificamos a direção que apresenta o maior alcance (e não o maior patamar, pois na anisotropia geométrica o patamar é assumido como constante). O ângulo dessa direção (medido em graus a partir do Norte, no sentido horário) será o primeiro valor de anis.

  3. Razão de Anisotropia (\(\lambda\)): Calculamos a razão entre o menor alcance (da direção perpendicular) e o maior alcance. \[\lambda = \frac{\text{alcance menor}}{\text{alcance maior}}\]

Nota: No geoR é \(\lambda = \frac{\text{alcance maior}}{\text{alcance menor}}\)

O argumento final será preenchido como anis = c(ângulo, razão). Por exemplo, se o maior alcance for 100m na direção \(45^\circ\) e o menor for 50m, usamos anis = c(45, 0.5), onde \(0.5=50 \text{m /100 m}\). Isso encolhe o modelo na direção de menor continuidade para que ele se ajuste à realidade dos dados.

Maiores detalhes sobre este ajuste podem ser consultados na seção Seção 3.9 .

:::

Ajuste de Parâmetros: fit.variogram

A função fit.variogram ajusta os parâmetros do modelo teórico (vgm) aos pontos experimentais (v_exp) utilizando Mínimos Quadrados Ponderados (WLS). O método pondera mais fortemente os lags iniciais (menores distâncias), que contêm mais pares de pontos e são cruciais para a interpolação.

Código
modelo_ajustado <- fit.variogram(v_exp, modelo_inicial)
modelo_ajustado|>
  knitr::kable()
model psill range kappa ang1 ang2 ang3 anis1 anis2
Nug 0.0635564 0.000 0.0 0 0 0 1 1
Sph 0.6042690 979.887 0.5 0 0 0 1 1
Figura 3.23: Ajuste do modelo teórico
Código
plot(v_exp, modelo_ajustado)
Figura 3.24: Ajuste do modelo teórico

Extração de Valores: variogramLine

Se desejar reproduzir a curva teórica no ggplot2, esta função gera os dados da linha.

Código
linha_teorica <- variogramLine(modelo_ajustado, maxdist = 1200)

head(linha_teorica) |>
  knitr::kable()
dist gamma
0.001200 0.0635575
6.031345 0.0691354
12.061489 0.0747128
18.091634 0.0802894
24.121779 0.0858648
30.151924 0.0914384

Krigagem: Interpolação espacial: krige

A função krige seleciona automaticamente o método adequado (Simples, Ordinária, Universal) baseando-se nos argumentos fornecidos.

  • Sintaxe: krige(formula, locations, newdata, model)

  • Argumentos:

    • formula: log(zinc) ~ 1 indica ausência de variáveis explicativas exógenas (apenas intercepto).

    • locations: Objeto sf com os dados observados.

    • newdata: Objeto sf ou stars com os locais de predição.

    • model: O modelo de variograma ajustado.

    • block: (Opcional) Se fornecido um vetor, ex: c(40, 40), realiza Krigagem de Bloco, estimando o valor médio dentro da célula, resultando em mapas mais suaves e menor variância de predição.

Código
# Execução da Krigagem Ordinária

krigagem_ord <- krige(log(zinc) ~ 1, 
                      locations = meuse_sf,  # Dados
                      newdata =grid_vetorial ,  # Grade de destino, vc poderia usar tambem grid_stars
                      model = modelo_ajustado, debug.level = 0) # Modelo espacial

O objeto resultante (krigagem_ord) contém duas variáveis fundamentais:

  • var1.pred: O valor predito (estimativa).

  • var1.var: A variância da krigagem (incerteza da estimativa).

Visualização de Mapas de Predição e Incerteza

A apresentação correta dos resultados exige a exibição da estimativa juntamente com sua incerteza associada.

Código
pacman::p_load(stars)

krigagem_raster <- st_rasterize(krigagem_ord) |>
  st_crop( limite_sf)  #corta apenas a area do shapfile
#
g1 <- ggplot() +
  geom_stars(data = krigagem_raster, aes(fill = var1.pred, x = x, y = y)) + 
  scale_fill_viridis_c(option = "B", name = "log(Zn)", na.value = "transparent") +
  geom_sf(data = limite_sf, fill = NA, color = "black") +
  labs(title = "Predição (Superfície Raster)") +
  theme_minimal()

g2 <- ggplot() +
  geom_stars(data = krigagem_raster, aes(fill = sqrt(var1.var), x = x, y = y)) + 
  scale_fill_viridis_c(option = "B", name = "SD", na.value = "transparent") +
  geom_sf(data = limite_sf, fill = NA, color = "black") +
  labs(title = "Incerteza (Desvio Padrão)") +
  theme_minimal()+
  theme(axis.title = element_blank()) #remove os eixos x e y (veja no da esquerda existem porque não removemos)

g1; g2
Figura 3.25: Mapas de Predição e Incerteza (Desvio Padrão)
Figura 3.26: Mapas de Predição e Incerteza (Desvio Padrão)

Alternativamente poderia fazer:

Código
# st_bbox pega os limites da área
bb <- st_bbox(limite_sf) # onde limite_sf é seu shapfile

# Criar objeto stars vazio com resolução de 40m
grid_raster <- st_as_stars(bb, dx = 40, dy = 40)

# Recortar (Crop) o raster usando o polígono limite
grid_raster <- st_crop(grid_raster, limite_sf)


krigagem_direta <- krige(log(zinc) ~ 1, 
                         locations = meuse_sf, 
                         newdata = grid_raster, 
                         model = modelo_ajustado, debug.level = 0)

ggplot() +
  geom_stars(data = krigagem_direta, aes(fill = var1.pred)) +
  scale_fill_viridis_c(option = "plasma", name = "log(Zn)", na.value = "transparent") +
  geom_sf(data = limite_sf, fill = NA, color = "black", size = 0.8) +
  labs(title = "Krigagem Ordinária") +
  theme_void() +
  coord_sf(expand = FALSE) # Remove espaços em branco extras nas margens

Validação Cruzada: krige.cv

Para aferir a qualidade preditiva do modelo, utiliza-se a função krige.cv. Esta função executa o procedimento leave-one-out (ou k-fold), que remove um ponto, estima-o com os vizinhos, compara o real com o estimado, repete para todos.

  • Sintaxe: krige.cv(formula, locations, model, nfold, ...)

  • Argumentos:

    • nfold: Se omitido ou igual ao número de observações, faz leave-one-out. Se definido (ex: 5 ou 10), faz validação cruzada em k-partes.
Código
validacao <- krige.cv(log(zinc) ~ 1, locations = meuse_sf, model = modelo_ajustado, debug.level = 0)

Extração de Métricas de Diagnóstico

Código
# Resíduo = Observado - Predito
# Z-score = Resíduo / Desvio Padrão da Krigagem

metricas <- validacao |>
  st_drop_geometry() |>
  summarise(
    ME = mean(residual),              # Erro Médio (Viés): Ideal -> 0
    RMSE = sqrt(mean(residual^2)),    # Acurácia: Ideal -> Baixo
    MSNE = mean(zscore),              # Viés Normalizado: Ideal -> 0
    RMSNE = sqrt(mean(zscore^2))      # Consistência da Variância: Ideal -> 1
  )


metricas|>
  knitr::kable()
ME RMSE MSNE RMSNE
-0.0004748 0.3978521 -0.0003306 0.8972854

Simulação Estocástica

A Krigagem suaviza a realidade. Para aplicações que exigem a reprodução da textura real da variabilidade (ex: fluxo em meios porosos, análise de risco ambiental), utiliza-se simulação.

Basta adicionar o argumento nsim e definir nmax (para Simulação Sequencial Gaussiana local).

Código
# nsim = 4 gera quatro mapas possíveis da realidade
simulacoes <- krige(log(zinc) ~ 1, 
                    locations = meuse_sf, 
                    newdata = grid_stars, 
                    model = modelo_ajustado, 
                    nsim = 4, 
                    nmax = 30, debug.level = 0)

dados_df <- as.data.frame(merge(simulacoes))

ggplot() +
  geom_stars(data = merge(simulacoes)) +
geom_contour(data=dados_df,aes(x=x, y=y,z=var1),color="white",size=0.2,alpha=0.5)+ #linhas de contorno (isolines)
  facet_wrap(~attributes) +
  geom_sf(data = limite_sf, fill = NA, color = "black", size = 0.5) +
  scale_fill_viridis_c(option = "inferno", name = "log(Zn)", na.value = "transparent") +
  theme_minimal() +
  labs(title = "Simulação com Curvas de Nível")+
  theme(axis.title = element_blank())
Figura 3.27: Cenários equiprováveis (Realizações)

3.19 Pacote automap

Enquanto no pacote gstat o usuário deve fornecer estimativas iniciais (chutes) para os parâmetros do variograma (patamar, alcance e efeito pepita) e testar manualmente diferentes funções de covariância (Esférico, Exponencial, Matérn, etc.), o pacote automap foi desenvolvido para automatizar essas etapas de ajuste e krigagem.

Baseado na metodologia descrita por Hiemstra et al. (2008), o pacote é ideal para situações onde se deseja realizar interpolação espacial sem a necessidade de definir manualmente os parâmetros iniciais, ou quando é necessário processar múltiplos conjuntos de dados em lote. O pacote estima os valores iniciais a partir dos dados e itera sobre diferentes modelos para encontrar o melhor ajuste baseado na menor soma dos quadrados dos resíduos.

Ajuste Automático do Variograma: autofitVariogram

Esta função elimina a necessidade de tentativa e erro manual. Ao contrário da função fit.variogram do gstat, que exige parâmetros iniciais, a autofitVariogram calcula esses valores automaticamente: o alcance inicial é definido como 0,10 vezes a diagonal da área dos dados (bounding box), o efeito pepita inicial é o mínimo da semivariância amostral, e o patamar é uma média entre o máximo e a mediana da semivariância . O algoritmo então ajusta e testa automaticamente os modelos Esférico, Exponencial, Gaussiano e Stein (Matérn), retornando aquele com o melhor ajuste estatístico . No canto inferior direito mostra o modelo ajustado e respetivos parâmetros.

Código
pacman::p_load(automap, sf, gstat)

data(meuse)
meuse_sf <- st_as_sf(meuse, coords = c("x", "y"), crs = 28992)

variograma_auto <- autofitVariogram(log(zinc) ~ 1, input_data = as(meuse_sf, "Spatial"))

plot(variograma_auto)

Interpolação Automática: autoKrige

A função autoKrige é chama internamente a autofitVariogram para ajustar o modelo e, em seguida, utiliza esse modelo otimizado para realizar a predição espacial nos novos locais . Isso resolve o problema de ter que passar manualmente os parâmetros do variograma para a função de krigagem. Ela suporta Krigagem Ordinária (padrão), Universal (inserindo covariáveis na fórmula) e Krigagem de Bloco .

Código
pacman::p_load(stars, sp)
data(meuse)
data(meuse.grid)

meuse_sf <- st_as_sf(meuse, coords = c("x", "y"), crs = 28992)
meuse_grid_sf <- st_as_sf(meuse.grid, coords = c("x", "y"), crs = 28992)
meuse_grid_stars <- st_rasterize(meuse_grid_sf, dx = 40, dy = 40)

krigagem <- autoKrige(log(zinc)~1, 
                      input_data = meuse_sf, 
                      new_data = meuse_grid_stars, debug.level = 0)

plot(krigagem)

Extraindo o resultado para plotar com ggplot

Código
pacman::p_load(patchwork)

resultado_sf <- st_as_sf(krigagem$krige_output)

p1 <- ggplot(resultado_sf) +
  geom_sf(aes(fill = var1.pred), color = NA) + # color=NA é crucial aqui
  scale_fill_viridis_c(option = "plasma", name = "Log(Zn)") +
  labs(title = "Predição") + 
  theme_void()+
  theme(plot.title = element_text(hjust = 0.5))

p2 <- ggplot(resultado_sf) +
  geom_sf(aes(fill = sqrt(var1.var)), color = NA) + 
  scale_fill_viridis_c(option = "cividis", name = "SD") +
  labs(title = "Erro Padrão") + 
  theme_minimal()+
  theme(plot.title = element_text(hjust = 0.5))

p1 + p2

Validação Cruzada Automática: autoKrige.cv

Para garantir que a automação não comprometeu a qualidade da predição, a função autoKrige.cv realiza a validação cruzada. Ela ajusta o variograma automaticamente e aplica a validação (leave-one-out ou k-fold) usando a função krige.cv do gstat. Isso permite verificar rapidamente se a estratégia automática está gerando resíduos aceitáveis sem a necessidade de configurar loops manuais de validação.

Para avaliar a qualidade do modelo ajustado automaticamente, utiliza-se a autoKrige.cv. Esta função ajusta o variograma aos dados e, em seguida, utiliza a função krige.cv do gstat para realizar a validação cruzada (cross-validation)7. Ela suporta tanto o método leave-one-out quanto o k-fold (validar subconjuntos de dados) através do argumento nfold8.

Código
# Validação cruzada automática (10-fold) para KO
cv_ordinaria <- autoKrige.cv(log(zinc) ~ 1,
                             input_data = as(meuse_sf, "Spatial"),
                             nfold = 10)

# Validação cruzada automática para Krigagem Universal (usando distância como covariável)
cv_universal <- autoKrige.cv(log(zinc) ~ sqrt(dist),
                             input_data = as(meuse_sf, "Spatial"),
                             nfold = 10, debug.level = 0)

# Resumo dos resíduos
summary(cv_ordinaria$krige.cv_output)
Object of class SpatialPointsDataFrame
Coordinates:
             min    max
coords.x1 178605 181390
coords.x2 329714 333611
Is projected: TRUE 
proj4string :
[+proj=sterea +lat_0=52.1561605555556 +lon_0=5.38763888888889
+k=0.9999079 +x_0=155000 +y_0=463000 +ellps=bessel +units=m +no_defs]
Number of points: 155
Data attributes:
   var1.pred        var1.var         observed        residual        
 Min.   :4.891   Min.   :0.1151   Min.   :4.727   Min.   :-0.969586  
 1st Qu.:5.369   1st Qu.:0.1564   1st Qu.:5.288   1st Qu.:-0.199327  
 Median :5.862   Median :0.1808   Median :5.787   Median :-0.002832  
 Mean   :5.882   Mean   :0.1895   Mean   :5.886   Mean   : 0.004181  
 3rd Qu.:6.347   3rd Qu.:0.2017   3rd Qu.:6.514   3rd Qu.: 0.218404  
 Max.   :7.265   Max.   :0.5400   Max.   :7.517   Max.   : 1.387144  
     zscore               fold       
 Min.   :-2.251356   Min.   : 1.000  
 1st Qu.:-0.467268   1st Qu.: 4.000  
 Median :-0.006538   Median : 6.000  
 Mean   : 0.010897   Mean   : 5.768  
 3rd Qu.: 0.515972   3rd Qu.: 8.000  
 Max.   : 3.108253   Max.   :10.000  

Comparação de Modelos: compare.cv

Dado que a escolha entre Krigagem Ordinária e Universal pode ser difícil, a função compare.cv permite comparar diretamente os resultados de múltiplas validações cruzadas. Ela gera diagnósticos estatísticos (como RMSE e Correlação) e gráficos espaciais de bolhas (bubble plots) para identificar visualmente qual abordagem automática produziu menores erros. O argumento plot.diff destaca onde um modelo supera o outro.

Código
comparacao <- compare.cv(cv_ordinaria, cv_universal,
                         col.names = c("Ordinária", "Universal"),
                         bubbleplots = TRUE, # Gera os gráficos na janela de plotagem
                         plot.diff = FALSE)   

Código
print(comparacao$spatial)
NULL
Código
comparacao1 <- compare.cv(cv_ordinaria, cv_universal,
                         col.names = c("Ordinária", "Universal"),
                         bubbleplots = FALSE, 
                         plot.diff = FALSE)   

comparacao1 |>
  knitr::kable()
Ordinária Universal
mean_error 0.004181 0.001329
me_mean 0.0007103 0.0002258
MAE 0.2933 0.2709
MSE 0.1551 0.1442
MSNE 0.8247 1.088
cor_obspred 0.8378 0.8499
cor_predres 0.06733 -0.0531
RMSE 0.3938 0.3797
RMSE_sd 0.5455 0.526
URMSE 0.3938 0.3797
iqr 0.4177 0.3999

Intervalos de Predição de Posição: posPredictionInterval

Esta função oferece uma ferramenta prática para tomada de decisão baseada na incerteza da krigagem automática. Ela calcula a posição do intervalo de predição (padrão 95%) em relação a um valor limite (cutoff). O mapa resultante classifica as áreas como potencialmente acima, potencialmente abaixo ou indistinguível do limite, facilitando a interpretação de riscos sem exigir cálculos manuais de intervalos de confiança.

Código
#Extrair os resultados da krigagem e remover NA
resultado_pontos <- st_as_sf(krigagem$krige_output, as_points = TRUE)
resultado_limpo <- resultado_pontos[!is.na(resultado_pontos$var1.pred), ]

krigagem_pontos <- krigagem
krigagem_pontos$krige_output <- resultado_limpo

intervalos <- posPredictionInterval(krigagem_pontos, 
                                    p = 95, 
                                    value = 6.0)

plot(intervalos, main = "Classificação vs Limiar (6.0)")
Figura 3.28: Áreas estatisticamente acima ou abaixo do limiar (Log(Zn) = 6.0)

3.20 Pacote geoR

Veja no capítulo 3 de Scalon (2024).